Time management is very much important in IIT JAM. The eduncle test series for IIT JAM Mathematical Statistics helped me a lot in this portion. I am very thankful to the test series I bought from eduncle.
Nilanjan Bhowmick AIR 3, CSIR NET (Earth Science)
>


Sonu saini
answer
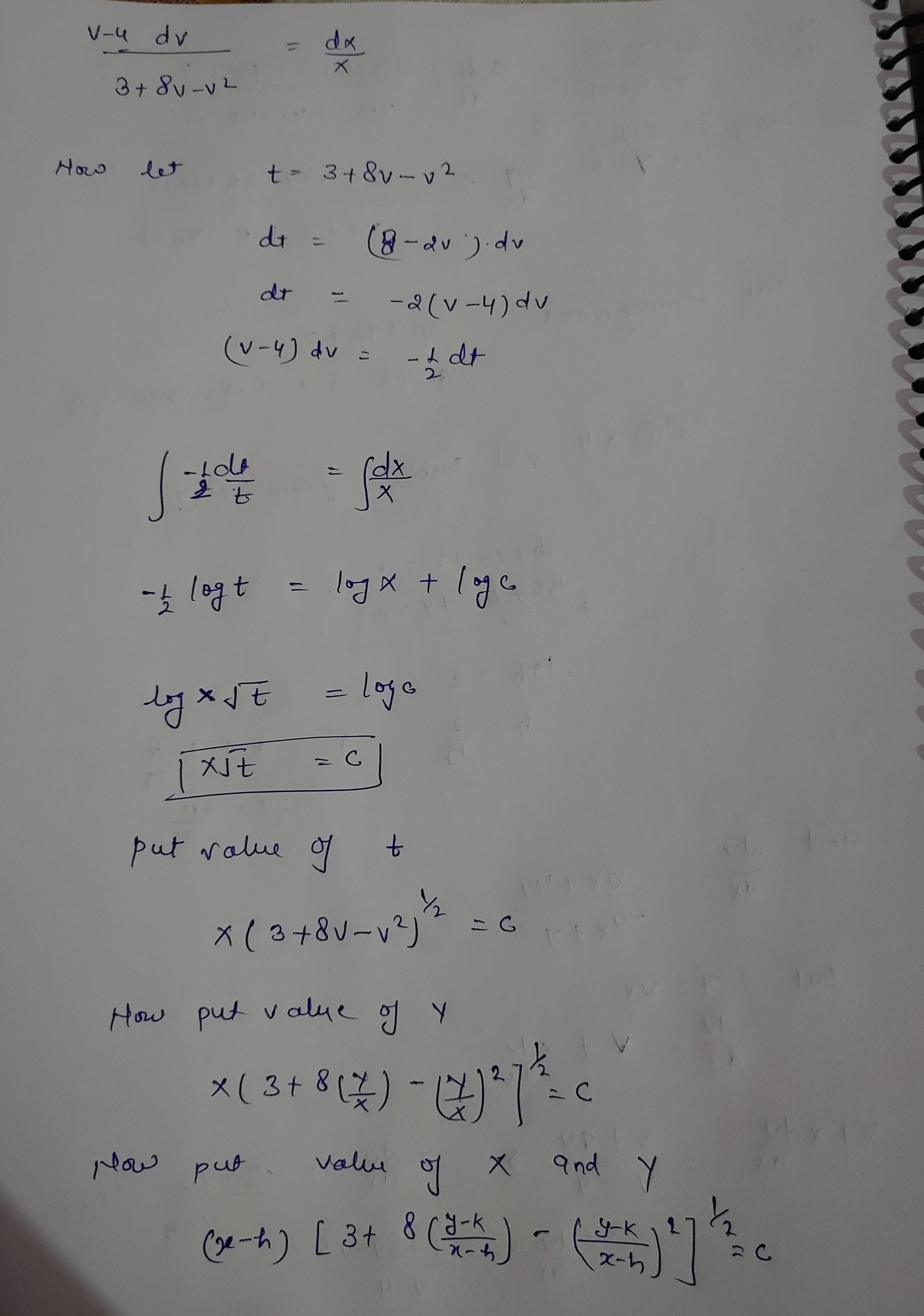
Ma'am exact se krne pr ans different aa rha h
isko aage solve krne k baad kya pta whi bn jaye to exact se aa rha h
A differential equation can have different solutions therefore both the solutions are right.