Time management is very much important in IIT JAM. The eduncle test series for IIT JAM Mathematical Statistics helped me a lot in this portion. I am very thankful to the test series I bought from eduncle.
Nilanjan Bhowmick AIR 3, CSIR NET (Earth Science)
>
>



Ruby negi Best Answer
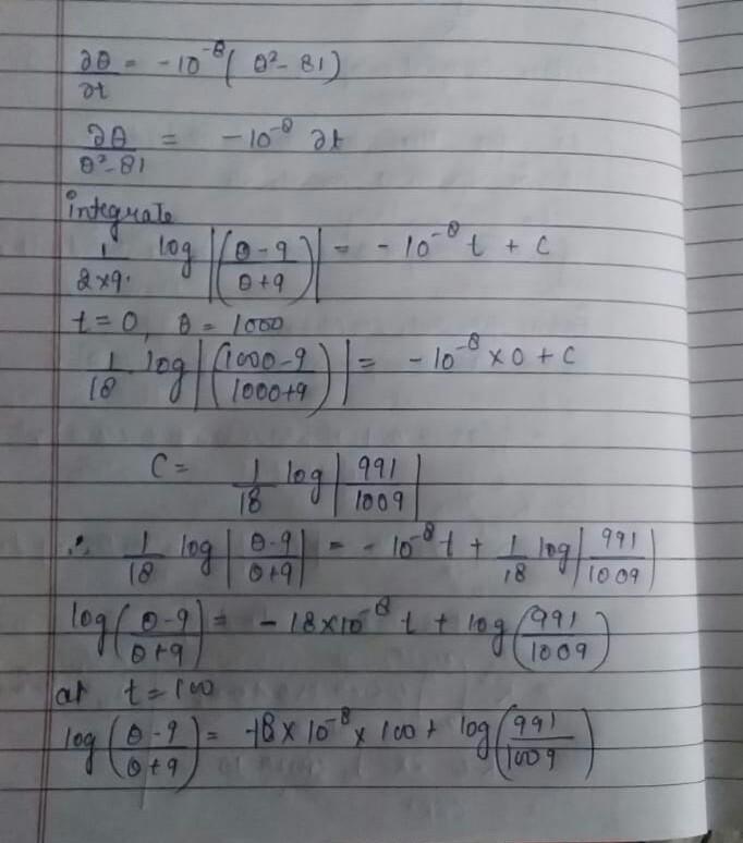
i am confused with the question ( what is the power of 10) so I leave the last step upto u, u have to only put the calculate the value using calculator.. for further doubt,u could ask..
feel free to ask.