Time management is very much important in IIT JAM. The eduncle test series for IIT JAM Mathematical Statistics helped me a lot in this portion. I am very thankful to the test series I bought from eduncle.
Nilanjan Bhowmick AIR 3, CSIR NET (Earth Science)
>



Anonymous User
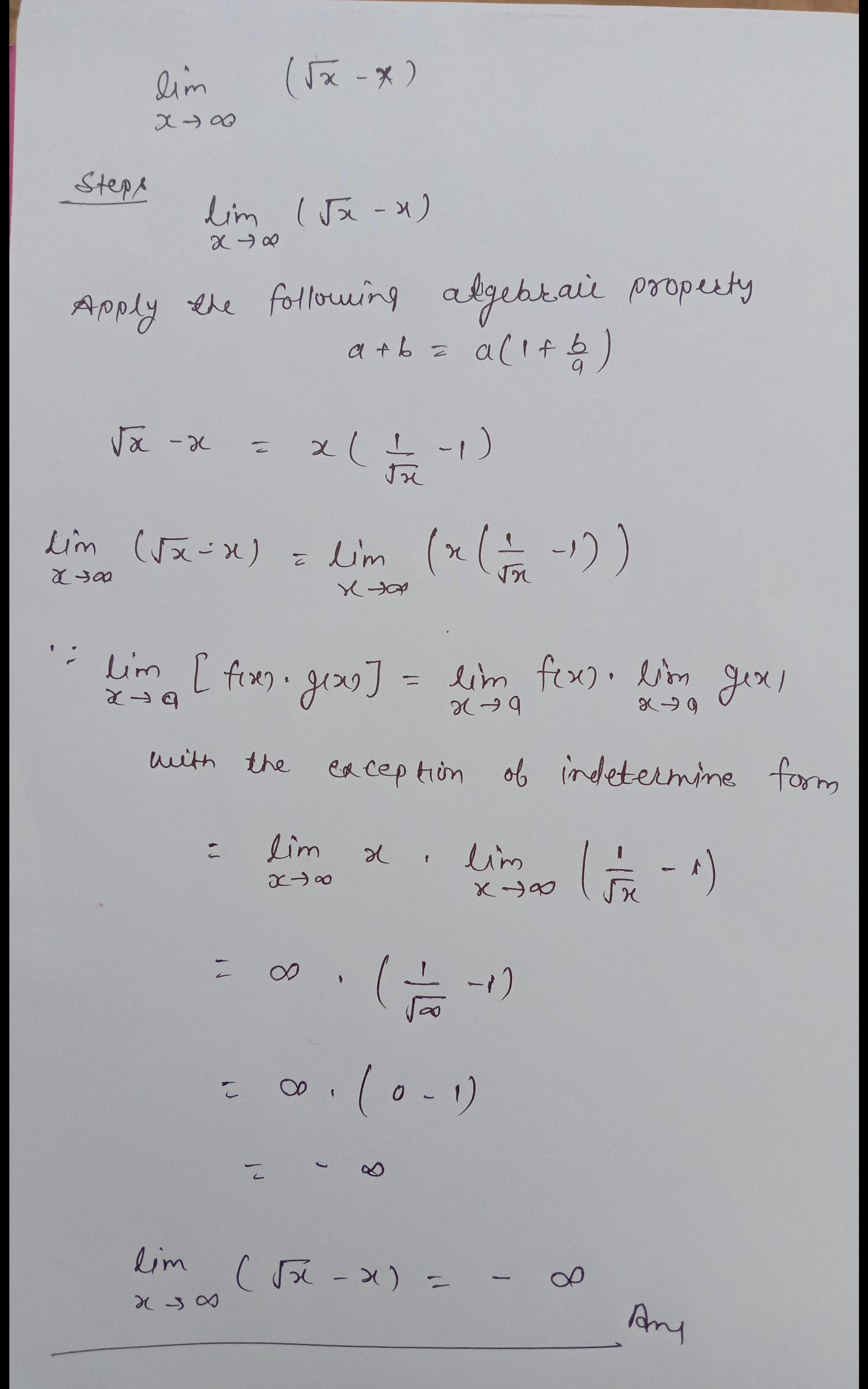
See attachment
cant we use hospital since the expression after plugging in the limit value gives us an indeterminant form ♾️ -♾️?
no
DL hospital rule is applicable only for 0/0 and infinity/infinity form
can you 🙏please justify your answer?