Time management is very much important in IIT JAM. The eduncle test series for IIT JAM Mathematical Statistics helped me a lot in this portion. I am very thankful to the test series I bought from eduncle.
Nilanjan Bhowmick AIR 3, CSIR NET (Earth Science)
>


Kanika goswami 1 Best Answer
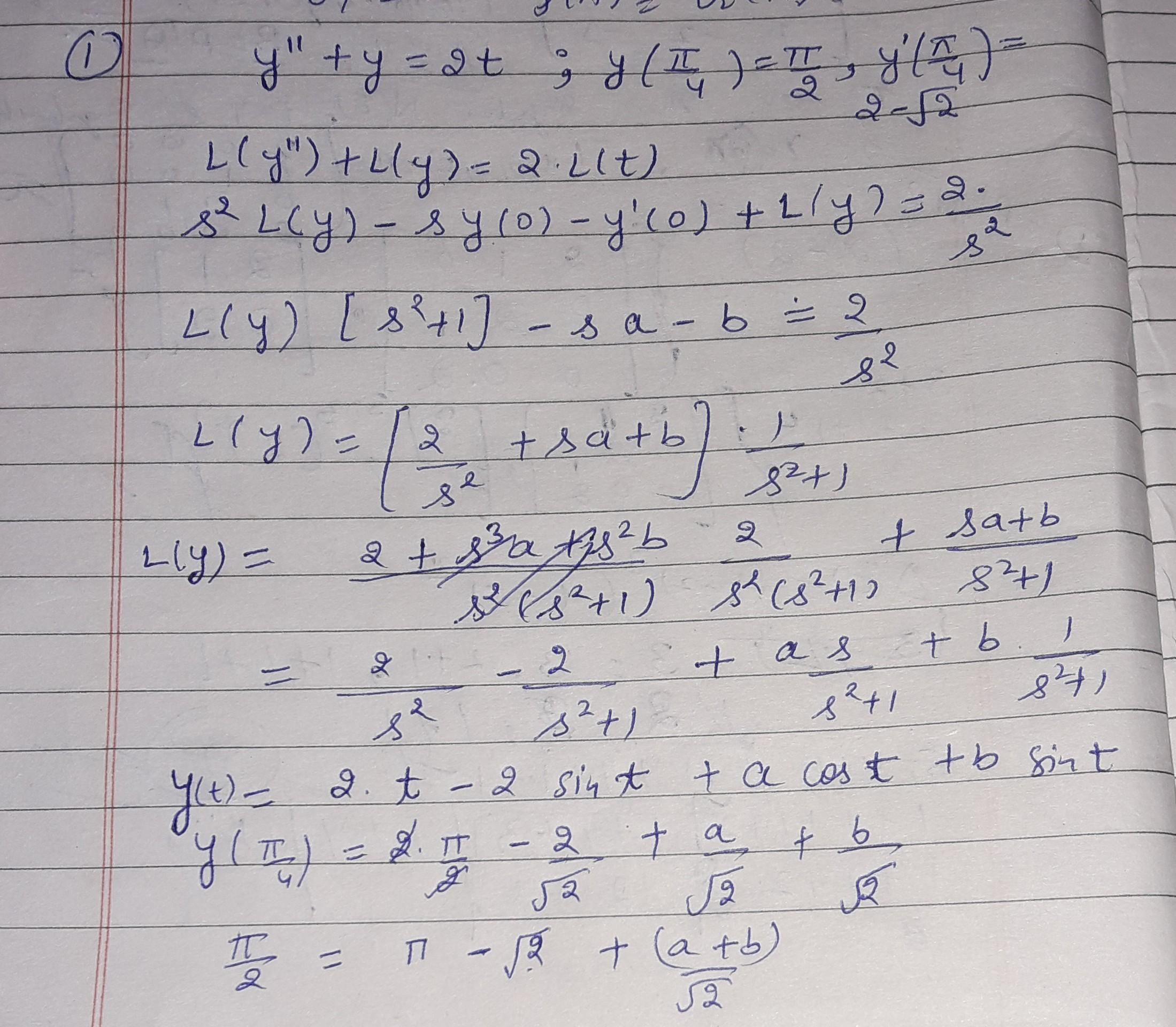
By using laplace transformation it is quite lengthy but as your question its solution is below....check it.