Time management is very much important in IIT JAM. The eduncle test series for IIT JAM Mathematical Statistics helped me a lot in this portion. I am very thankful to the test series I bought from eduncle.
Nilanjan Bhowmick AIR 3, CSIR NET (Earth Science)
>
>



Piyush pachauri
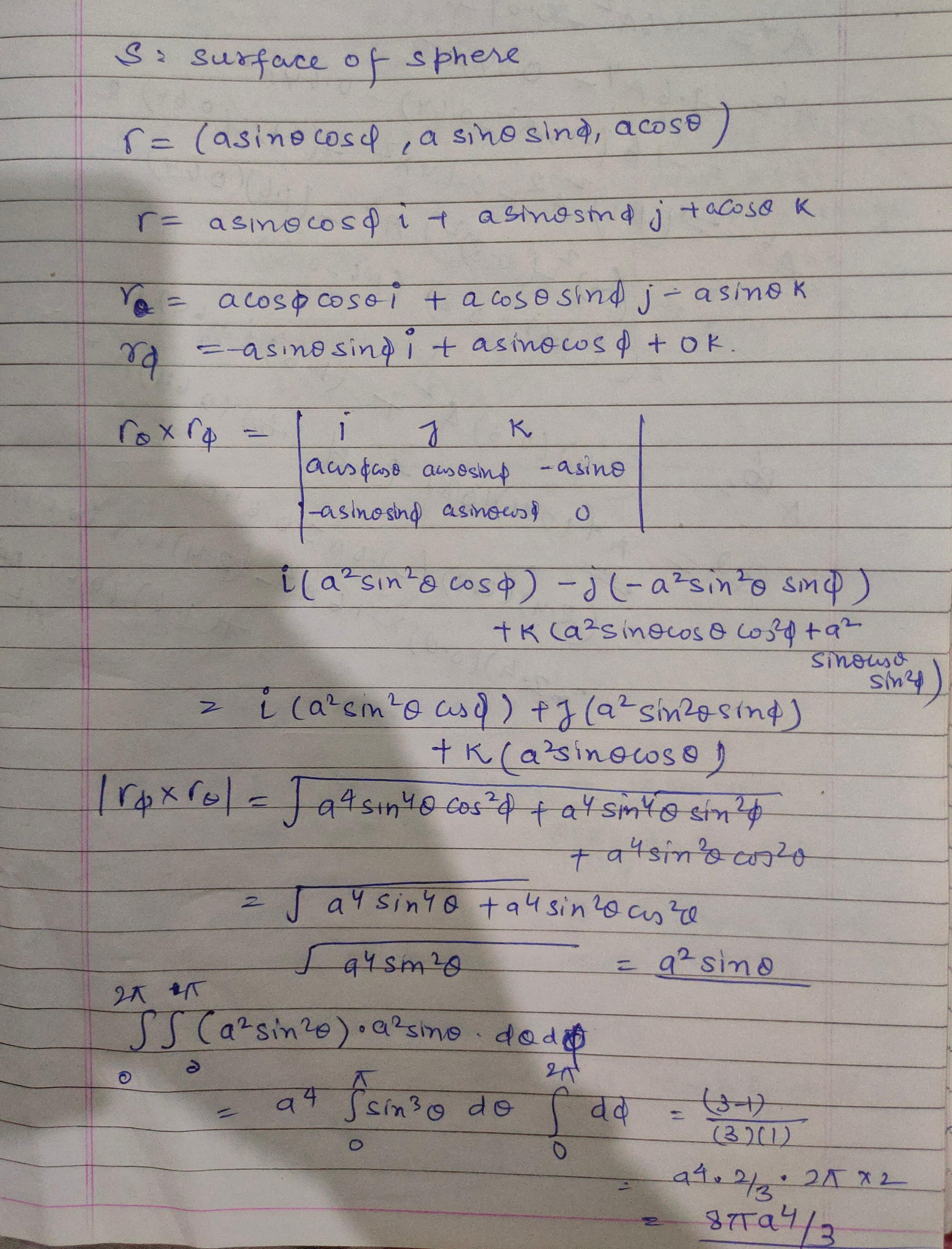
For surface integral, See attached
I think There is a misprint , If you calculate flux then you will get zero.
maybe
then should i calculate flux??
I don't think , They have framed this question correctly.
It is absolutely not clear ,what is it that they want us to calculate.
Which book is this ?