Time management is very much important in IIT JAM. The eduncle test series for IIT JAM Mathematical Statistics helped me a lot in this portion. I am very thankful to the test series I bought from eduncle.
Nilanjan Bhowmick AIR 3, CSIR NET (Earth Science)
>
>



Piyush pachauri
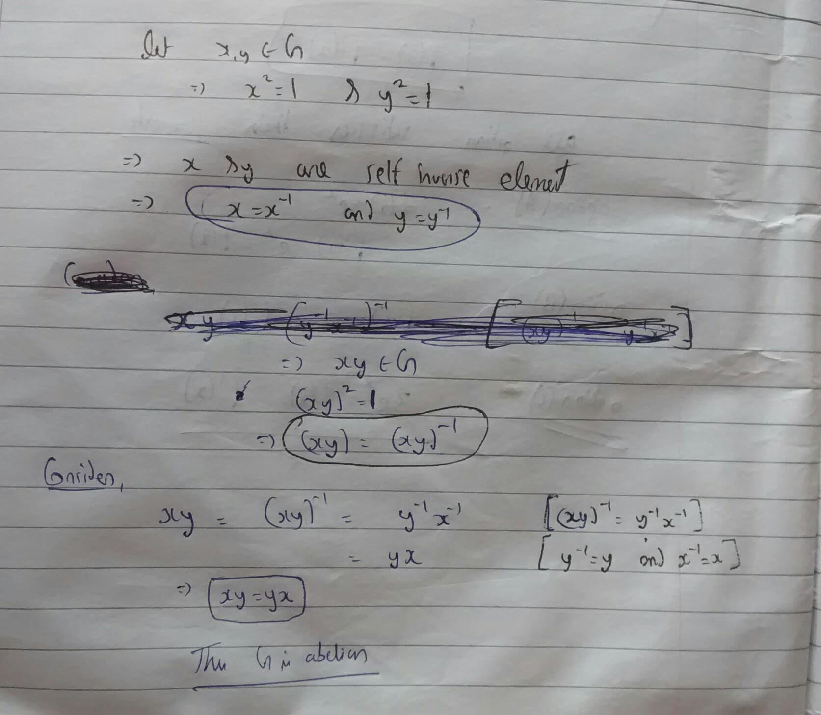
Deepak sir , How can you say (xy)^2 = y^2*x^2, I don't think that is correct. you don't know that they commute, you have to prove that.
yes , it's not correct , I have updated my answer