Time management is very much important in IIT JAM. The eduncle test series for IIT JAM Mathematical Statistics helped me a lot in this portion. I am very thankful to the test series I bought from eduncle.
Nilanjan Bhowmick AIR 3, CSIR NET (Earth Science)


Anuj s.
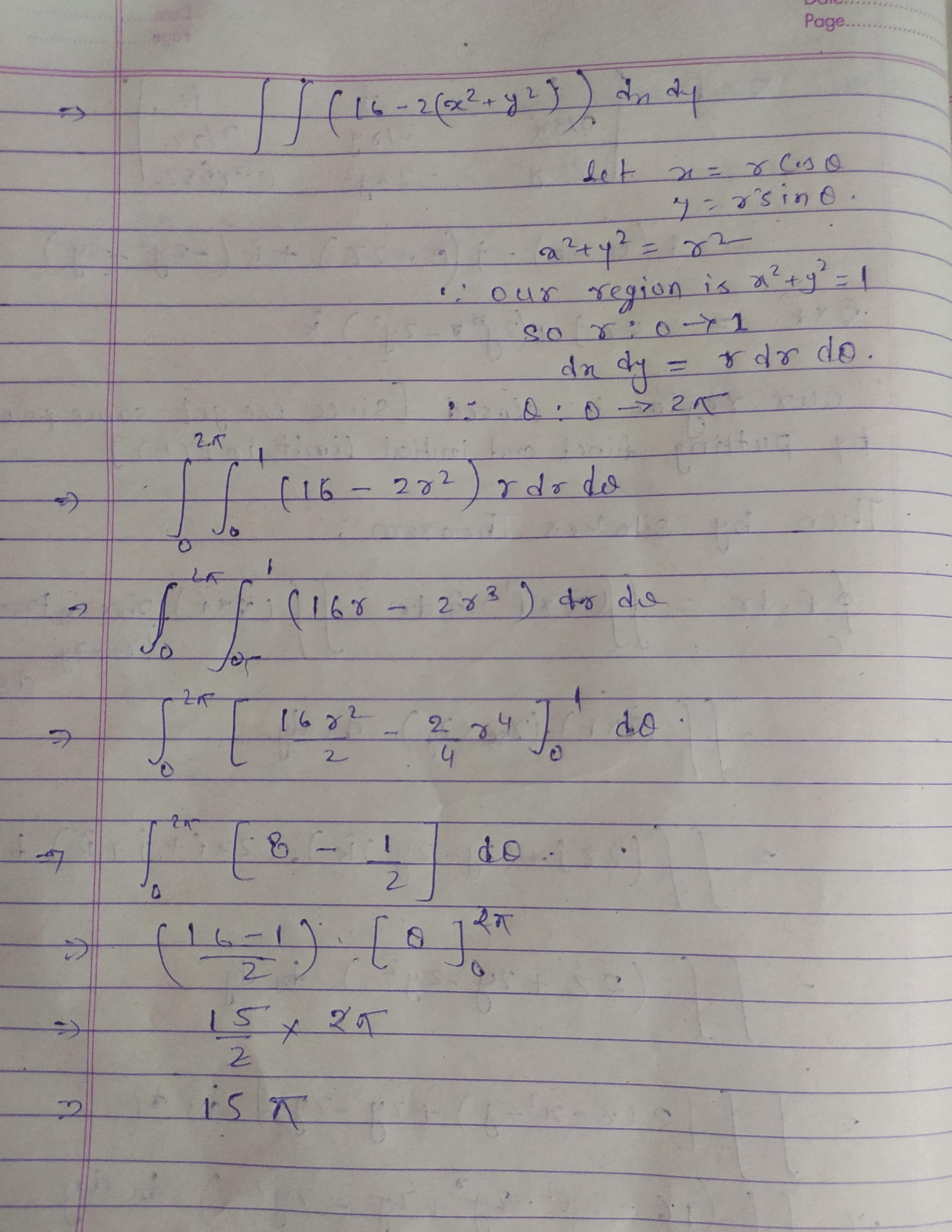
when we solve this question directly by given line integral then this get lengthy and hard calculation so by directly method this question become very tough. since our region is closed so i tried to solve this question by stokes theorem. i solve this step by step. please check if my answer is wrong and you have right answer then tell me. Ans=15π