Time management is very much important in IIT JAM. The eduncle test series for IIT JAM Mathematical Statistics helped me a lot in this portion. I am very thankful to the test series I bought from eduncle.
Nilanjan Bhowmick AIR 3, CSIR NET (Earth Science) 
		 
			 
			 
			 
			 
			 
			 
			 
			 
			 30 points
 30 points >
>
	 
 
 
 
             
            

 
                
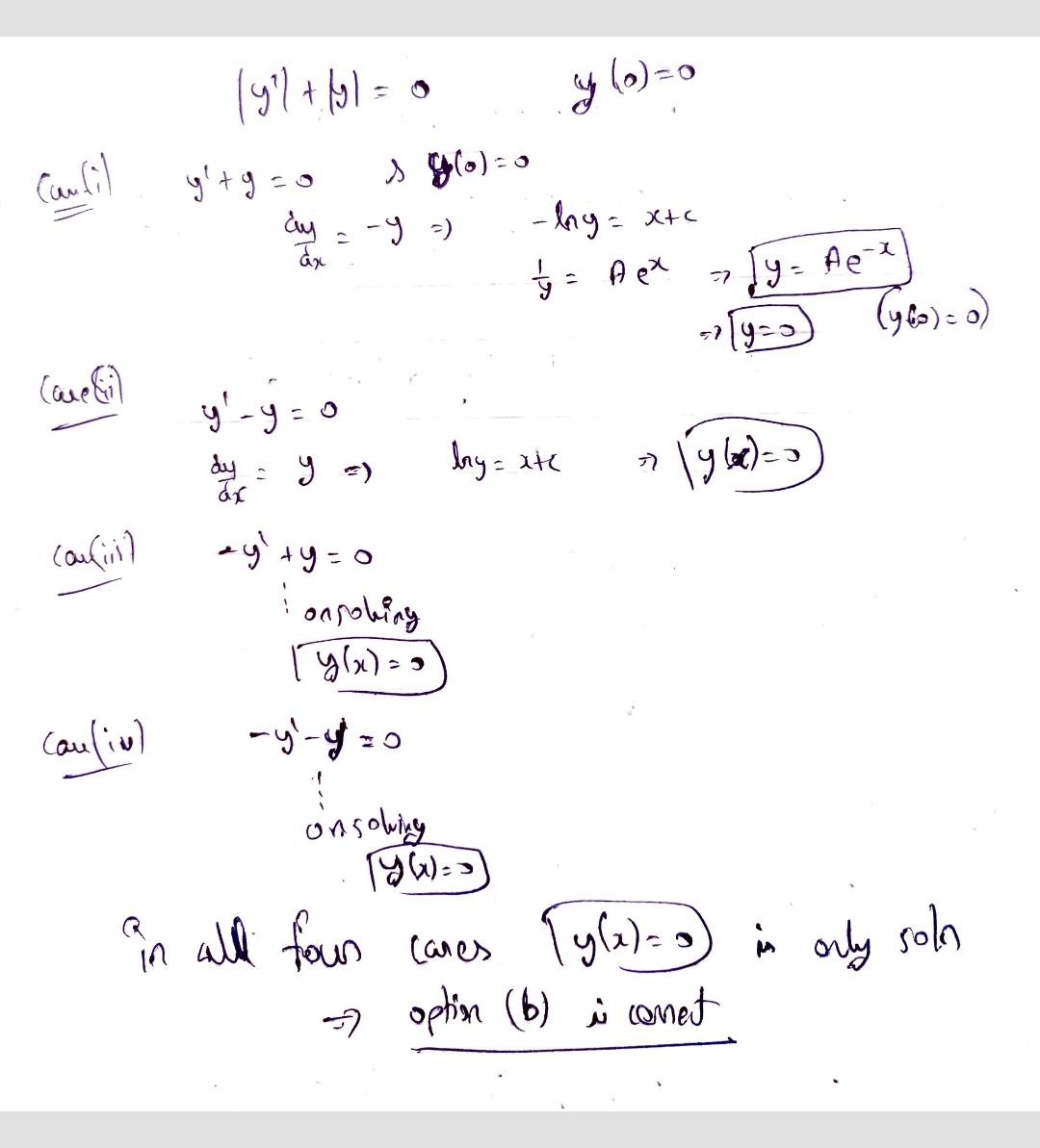
Deepak singh 1 Best Answer
Refer attached option b is correct