Time management is very much important in IIT JAM. The eduncle test series for IIT JAM Mathematical Statistics helped me a lot in this portion. I am very thankful to the test series I bought from eduncle.
Nilanjan Bhowmick AIR 3, CSIR NET (Earth Science)
>


Anshum Sharma
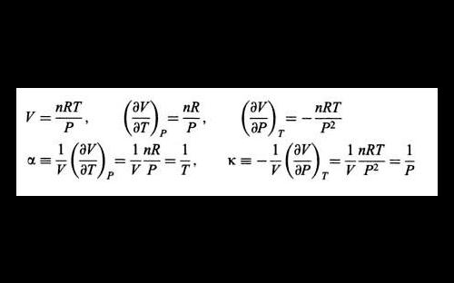
Here is the detailed solution alpha is volume expansion and K is the isothermal compressibility Answer : The Ratio is T/P for an ideal gas