Time management is very much important in IIT JAM. The eduncle test series for IIT JAM Mathematical Statistics helped me a lot in this portion. I am very thankful to the test series I bought from eduncle.
Nilanjan Bhowmick AIR 3, CSIR NET (Earth Science)
>


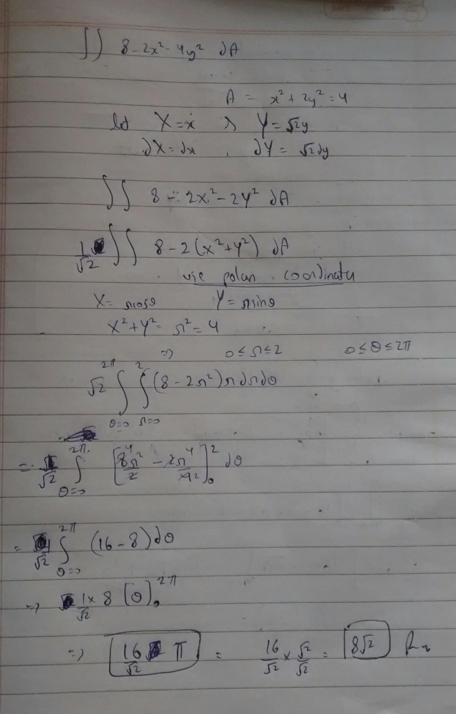
Deepak singh 1
see attached (updated)
you did one mistake instead of dividing√2 you multiplied
yes , you are right , that's why my answer was different ..
then answer will be 8√2
I have updated my answer, see