Time management is very much important in IIT JAM. The eduncle test series for IIT JAM Mathematical Statistics helped me a lot in this portion. I am very thankful to the test series I bought from eduncle.
Nilanjan Bhowmick AIR 3, CSIR NET (Earth Science)


Anonymous User
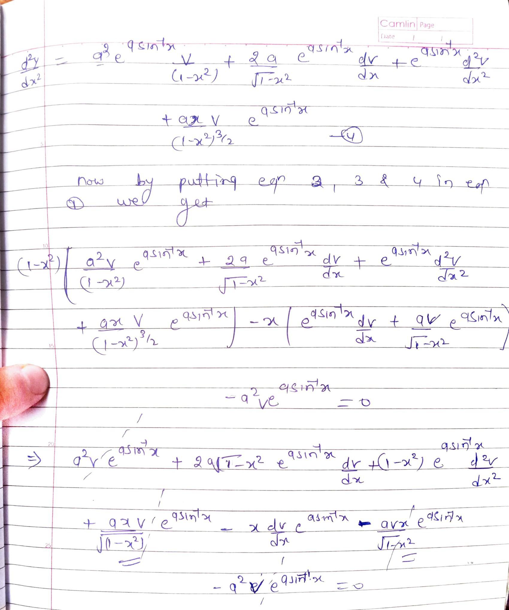
This is complete solution of this question . if u still have any doubt then please ask . and u should also go through theory so that ur basic concepts increase
ok sir but only one dbt u have differentiated that complete solution twice but in d^2/dx how get that answer i can't get it can you tell it
and if u satisfied with answer then marked it as answer
and this is basic differentiation u should work on example so that u can improve ur concepts