Time management is very much important in IIT JAM. The eduncle test series for IIT JAM Mathematical Statistics helped me a lot in this portion. I am very thankful to the test series I bought from eduncle.
Nilanjan Bhowmick AIR 3, CSIR NET (Earth Science)
>


Shabir ahmad bhat Best Answer
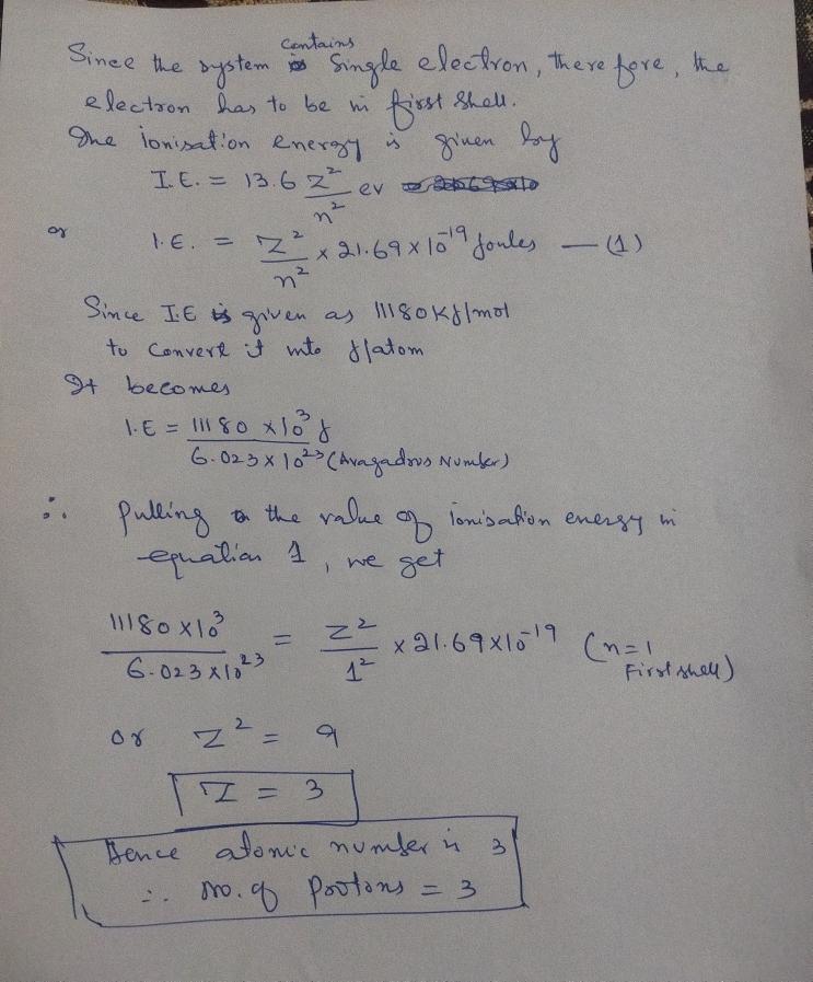
since it is single electron system, therefore it might be an hydrogen. the number of protons is 3.