Time management is very much important in IIT JAM. The eduncle test series for IIT JAM Mathematical Statistics helped me a lot in this portion. I am very thankful to the test series I bought from eduncle.
Nilanjan Bhowmick AIR 3, CSIR NET (Earth Science)
>


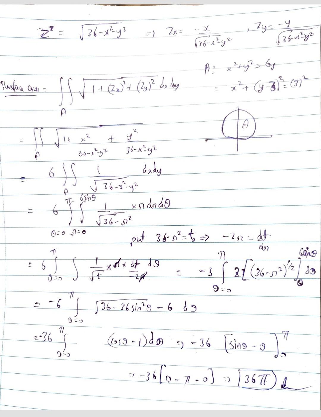
Deepak singh 1 Best Answer
Refer attached Answer is 36π
doubt
the correct answer as per the book is 41.09
ok let me check
have you checked?
no mistake is looking in my solution . Can you show solution once if possible ?
see
please answer the projection question.
There was calculation mistake. Answer is 41.09
here we have to find surface area of sphere under cylinder part . So we have taken projection of cylinder .
isn't the projection = the intersection of the surfaces?
it depends on kind of question , here no need to take projection .
always go through language of question for such type of question . There is no fixed way to solve such question .