Sharayu posted an Question
December 04, 2021 • 00:20 am 30 points
  • IIT JAM
  • Mathematics (MA)

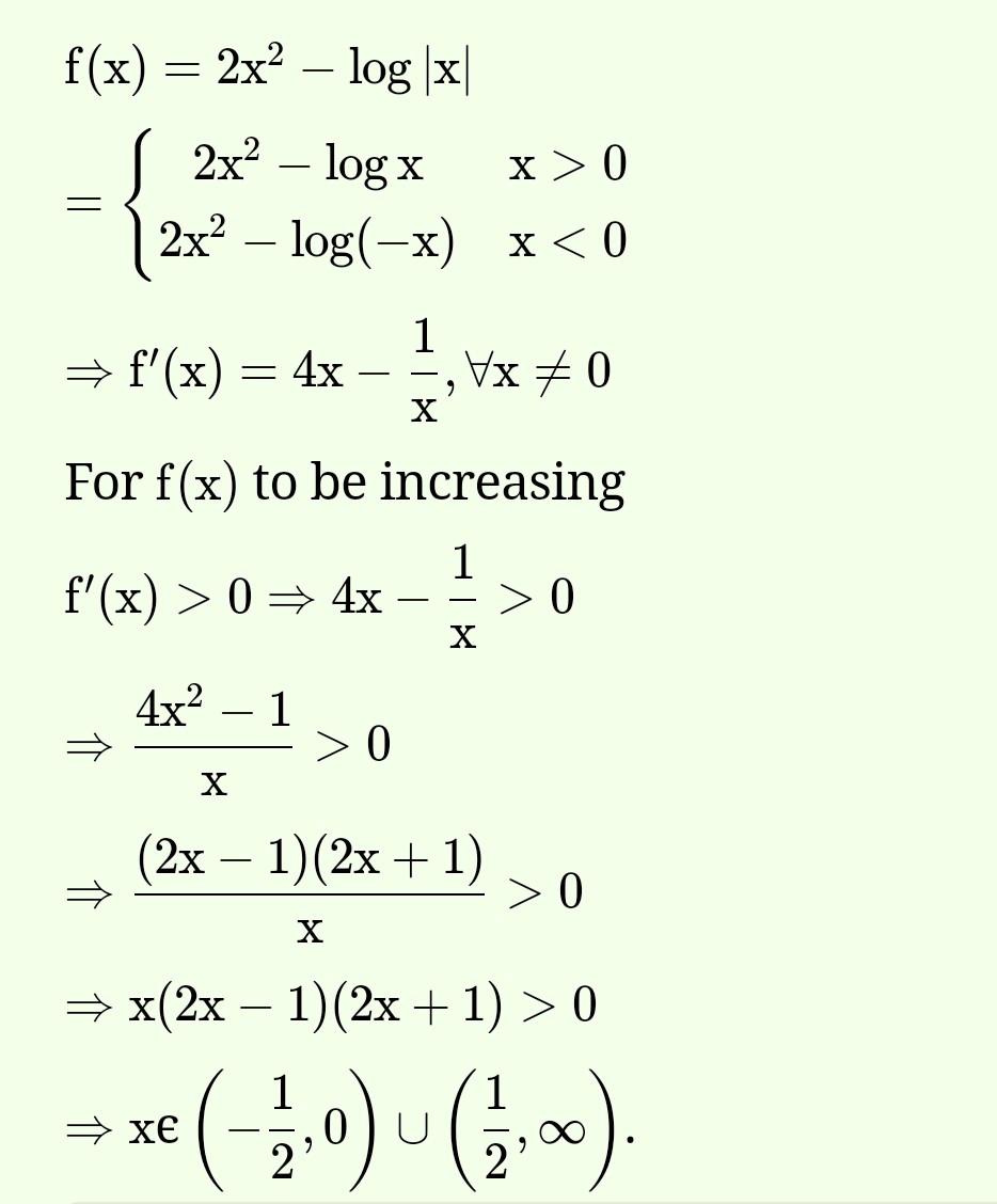
Tc) 3) )3, 3) (d) none of these 2x2-in x is a decreasing function in the interval (a) (b)0 --) (d)

TC) 3) )3, 3) (D) None of these 2x2-In x is a decreasing function in the interval (A) (B)0 --) (D)

1 Answer(s) Answer Now
  • 0 Likes
  • 1 Comments
  • 0 Shares
whatsapp-btn

Do You Want Better RANK in Your Exam?

Start Your Preparations with Eduncle’s FREE Study Material

  • Updated Syllabus, Paper Pattern & Full Exam Details
  • Sample Theory of Most Important Topic
  • Model Test Paper with Detailed Solutions
  • Last 5 Years Question Papers & Answers