Jinesh Jain posted an Question
December 10, 2021 • 23:10 pm 30 points
  • IIT JAM
  • Mathematics (MA)

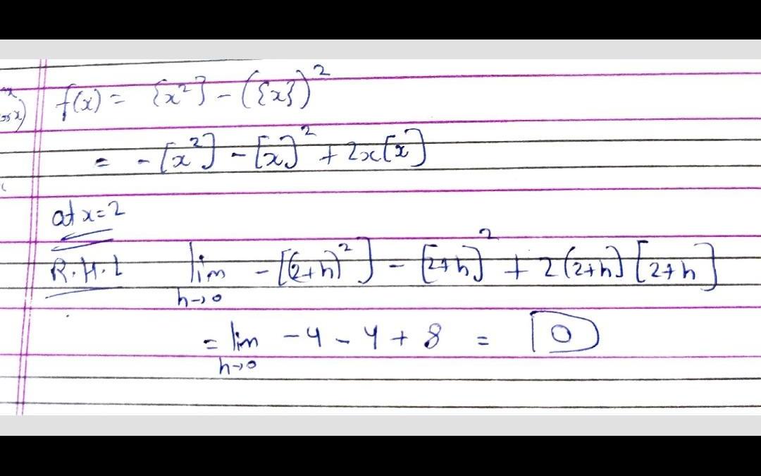
The ceriuowy c 4 of g=tz un

the Ceriuowy c 4 of g=TZ un function of one variable

1 Answer(s) Answer Now
  • 0 Likes
  • 1 Comments
  • 0 Shares
whatsapp-btn

Do You Want Better RANK in Your Exam?

Start Your Preparations with Eduncle’s FREE Study Material

  • Updated Syllabus, Paper Pattern & Full Exam Details
  • Sample Theory of Most Important Topic
  • Model Test Paper with Detailed Solutions
  • Last 5 Years Question Papers & Answers