Sai posted an Question
December 08, 2021 • 16:34 pm 5 points
  • IIT JAM
  • Mathematics (MA)

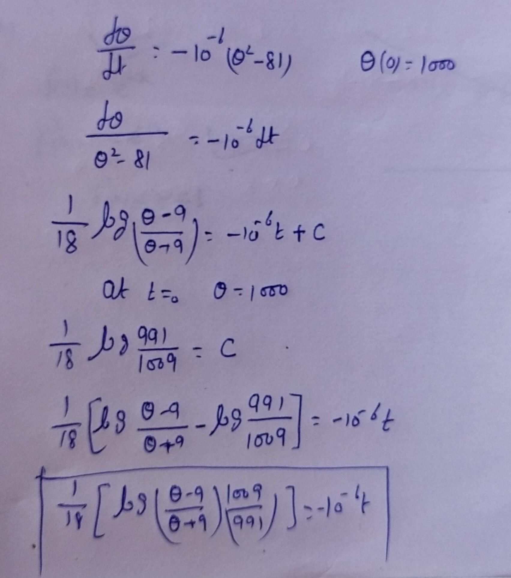
The following nonlinear differential equation can be solved exactly by separation of variables. de =-10- (02 81), e(0) = 1000 dt the value of e(100) most nearly

The following nonlinear differential equation can be solved exactly by separation of variables. de =-10- (02 81), e(0) = 1000 dt The value of e(100) most nearly is

1 Answer(s) Answer Now
  • 0 Likes
  • 1 Comments
  • 0 Shares
whatsapp-btn

Do You Want Better RANK in Your Exam?

Start Your Preparations with Eduncle’s FREE Study Material

  • Updated Syllabus, Paper Pattern & Full Exam Details
  • Sample Theory of Most Important Topic
  • Model Test Paper with Detailed Solutions
  • Last 5 Years Question Papers & Answers