profile-img
Eduncle posted an MCQ
December 25, 2019 • 18:22 pm 0 points
  • IIT JAM
  • Mathematics (MA)

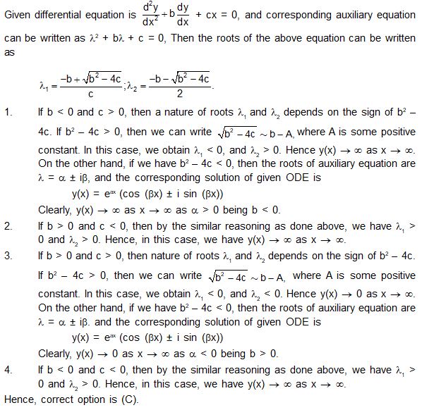
The general solution of the differential equation with constant coefficients

Choose Your Answer:
0 Attempts Submit Now
  • 0 Likes
  • 1 Comments
  • 0 Shares
whatsapp-btn

Do You Want Better RANK in Your Exam?

Start Your Preparations with Eduncle’s FREE Study Material

  • Updated Syllabus, Paper Pattern & Full Exam Details
  • Sample Theory of Most Important Topic
  • Model Test Paper with Detailed Solutions
  • Last 5 Years Question Papers & Answers