Time management is very much important in IIT JAM. The eduncle test series for IIT JAM Mathematical Statistics helped me a lot in this portion. I am very thankful to the test series I bought from eduncle.
Nilanjan Bhowmick AIR 3, CSIR NET (Earth Science)
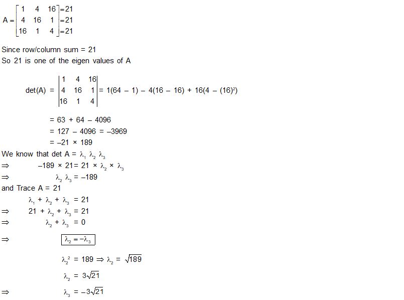
>


Eduncle Best Answer
Correct Answer : Option (B)
If the row/column sum is the same then can we conclude that it is the largest Eigenvalue among others?