Time management is very much important in IIT JAM. The eduncle test series for IIT JAM Mathematical Statistics helped me a lot in this portion. I am very thankful to the test series I bought from eduncle.
Nilanjan Bhowmick AIR 3, CSIR NET (Earth Science)
>
>


Priyanshu kumar
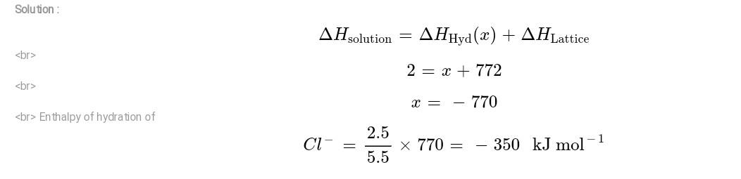
Option B https://doubtnut.com/question-answer-chemistry/the-lattice-enthalpy-of-solid-nacl-is-772-kj-mol-1-and-enthalpy-of-solution-is-2-kjmol-1-if-the-hydr-32505335 check this video solution