Time management is very much important in IIT JAM. The eduncle test series for IIT JAM Mathematical Statistics helped me a lot in this portion. I am very thankful to the test series I bought from eduncle.
Nilanjan Bhowmick AIR 3, CSIR NET (Earth Science)
>
>


Ashutosh singh Best Answer
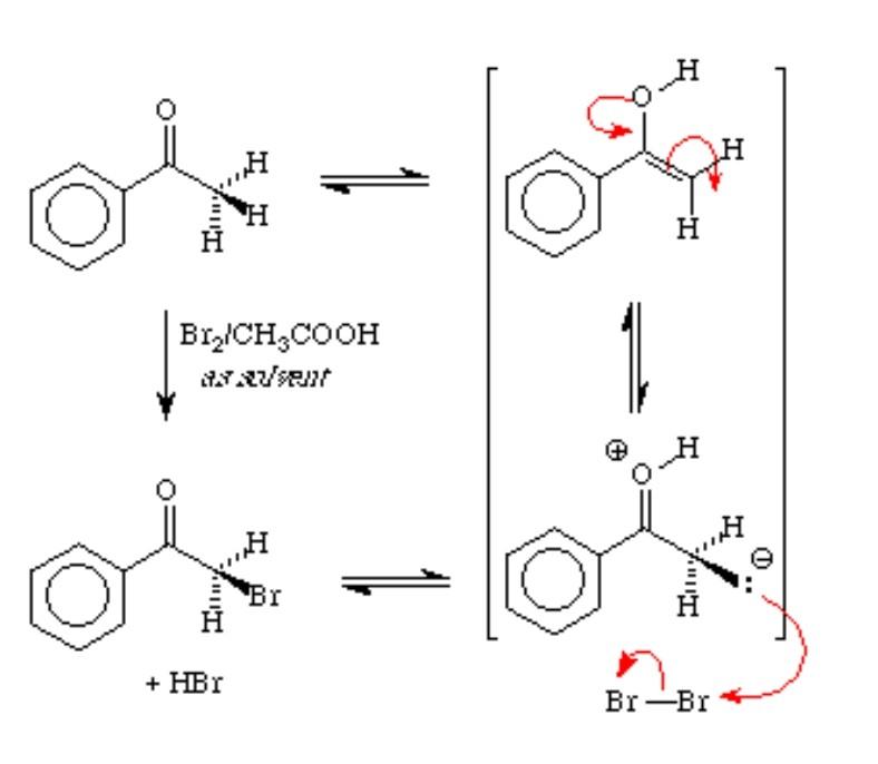
It is a lil bit complex reaction. I won't ask you to go into mechanism in detail because no one will ask you that.