Time management is very much important in IIT JAM. The eduncle test series for IIT JAM Mathematical Statistics helped me a lot in this portion. I am very thankful to the test series I bought from eduncle.
Nilanjan Bhowmick AIR 3, CSIR NET (Earth Science)
>


Deepak singh 1
Its false statement.
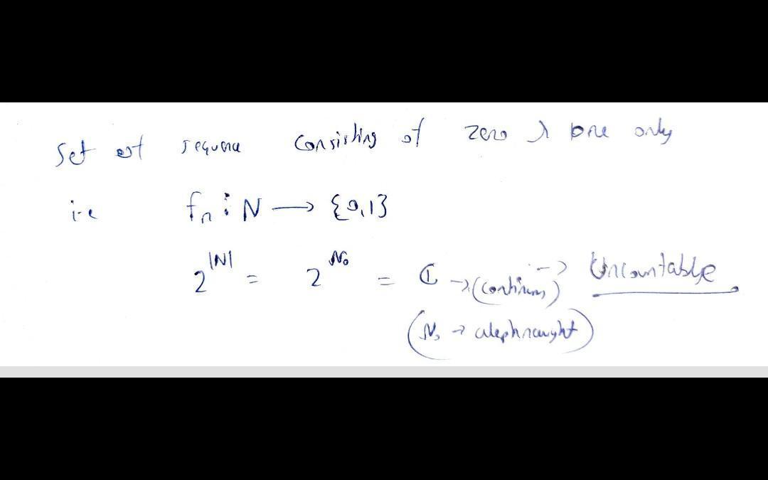
can't understand
Here sequence is from N to {0,1} . Thus no. of function = uncountable .
feel free to ask again..