profile-img
Bidisha Shit posted an Question
January 09, 2021 • 05:00 am 30 points
  • IIT JAM
  • Mathematics (MA)

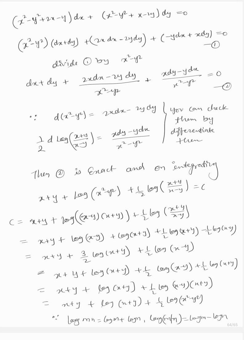
The solution of differential equation (x-y+2x-y) + (x y+x-2y dy - 0 is (a) x+y+ log (x - y+log (x+y) = c b) x+y+log (x* +y) + log (x+y) =c (c) x+y+ log (x +y')+

The solution of differential equation (x-y+2x-y) + (x y+x-2y dy - 0 is (a) x+y+ log (x - y+log (x+y) = c b) x+y+log (x* +y) + log (x+y) =c (c) x+y+ log (x +y')+ log (x- y) =c (d) x+y+log (x2 - y+log (x-y) =c

1 Answer(s) Answer Now
  • 0 Likes
  • 1 Comments
  • 0 Shares
whatsapp-btn

Do You Want Better RANK in Your Exam?

Start Your Preparations with Eduncle’s FREE Study Material

  • Updated Syllabus, Paper Pattern & Full Exam Details
  • Sample Theory of Most Important Topic
  • Model Test Paper with Detailed Solutions
  • Last 5 Years Question Papers & Answers