Time management is very much important in IIT JAM. The eduncle test series for IIT JAM Mathematical Statistics helped me a lot in this portion. I am very thankful to the test series I bought from eduncle.
Nilanjan Bhowmick AIR 3, CSIR NET (Earth Science)


Anonymous User
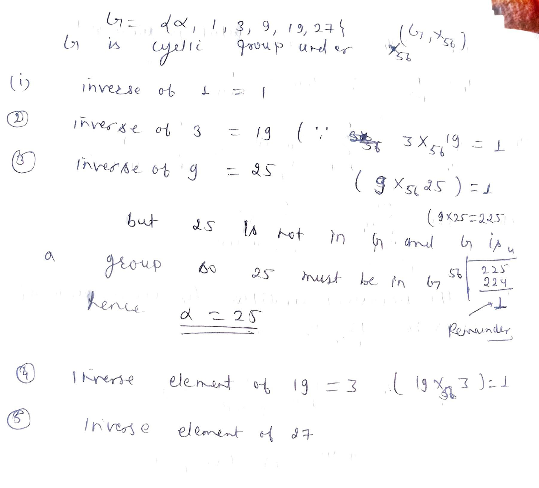
https://math.stackexchange.com/questions/260157/the-value-of-alpha-for-which-g-alpha-1-3-9-19-27-is-a-cyclic-group-und