Time management is very much important in IIT JAM. The eduncle test series for IIT JAM Mathematical Statistics helped me a lot in this portion. I am very thankful to the test series I bought from eduncle.
Nilanjan Bhowmick AIR 3, CSIR NET (Earth Science)
>


Anupam dixit
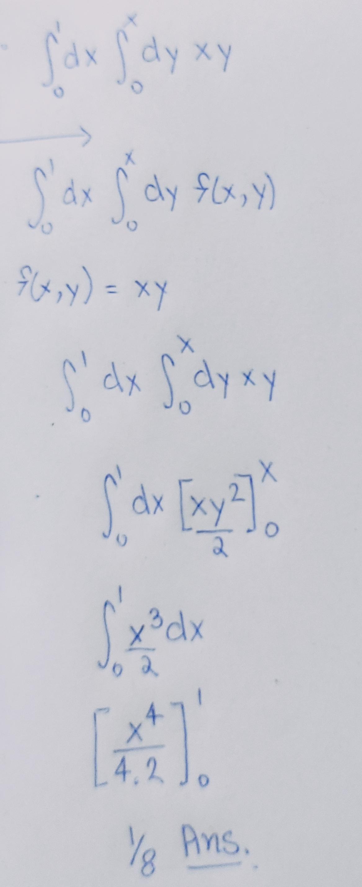
answer to the above question.. we can separate the fun. only when the limits are const. (so doesn't apply in this particular problem. since ).