Time management is very much important in IIT JAM. The eduncle test series for IIT JAM Mathematical Statistics helped me a lot in this portion. I am very thankful to the test series I bought from eduncle.
Nilanjan Bhowmick AIR 3, CSIR NET (Earth Science)
>
>
>

>


Shanu arora Best Answer
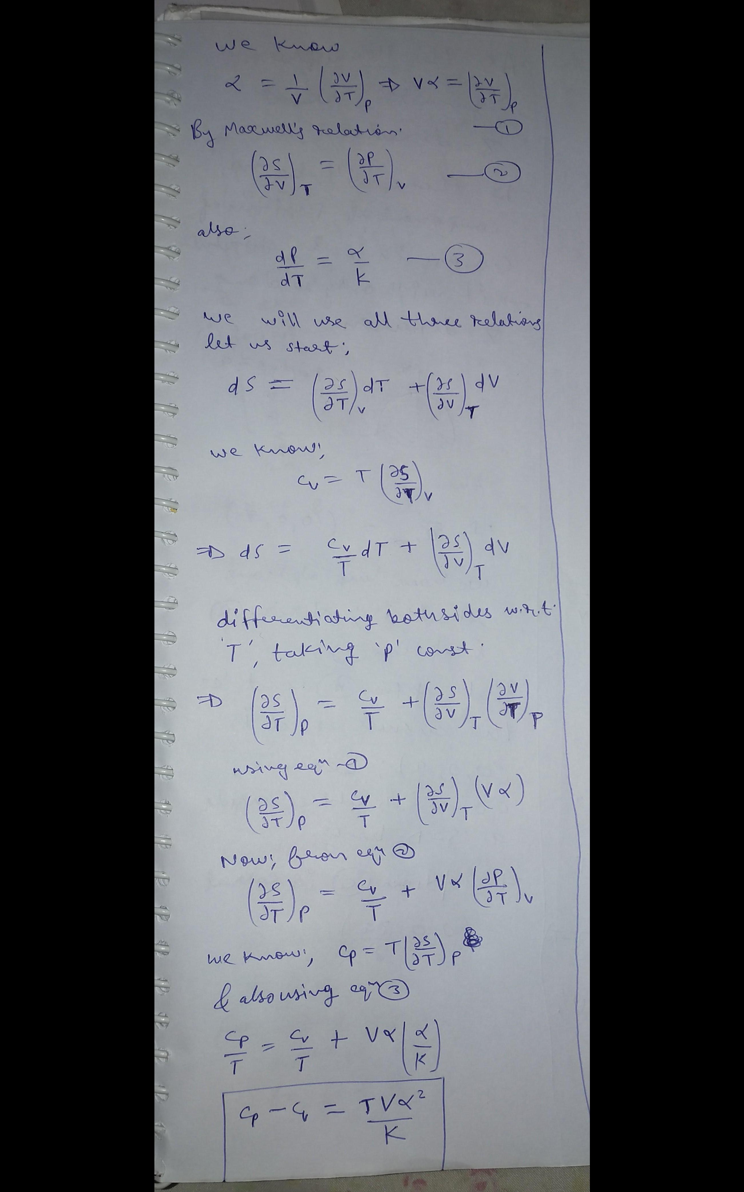
Answer: actually himanshu, in the solution, the formula for cp-cv is given wrong, there should be a dp/dt , here is the proof for that and the rest of the solution follows the same procedure as given.sometimes the answers may be wrong in solution as well and please do not take for formula for granted its always good to cross verify,feel free to ask doubts