Time management is very much important in IIT JAM. The eduncle test series for IIT JAM Mathematical Statistics helped me a lot in this portion. I am very thankful to the test series I bought from eduncle.
Nilanjan Bhowmick AIR 3, CSIR NET (Earth Science)
>
>
>


Ruby negi
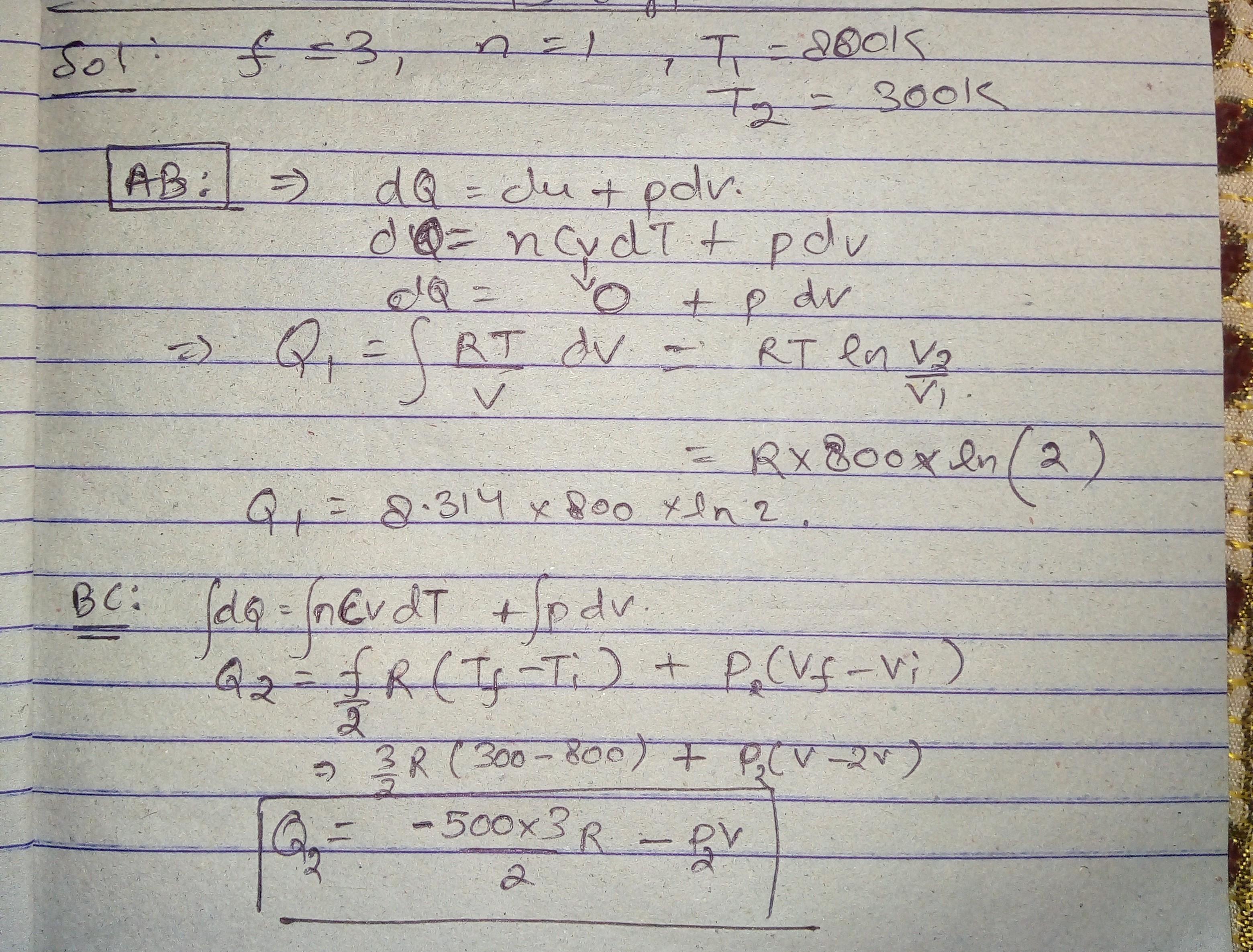
here is the solution.. Remember that the area under the curve of PV diagram is work done. so when the diagram is okay to find area then need not to go process by process, just find dW i.e area under the curve and u know dU=0 for cyclic process. so automatically dQ=dU.. best regard