Time management is very much important in IIT JAM. The eduncle test series for IIT JAM Mathematical Statistics helped me a lot in this portion. I am very thankful to the test series I bought from eduncle.
Nilanjan Bhowmick AIR 3, CSIR NET (Earth Science)
>
>
>


Ruby negi
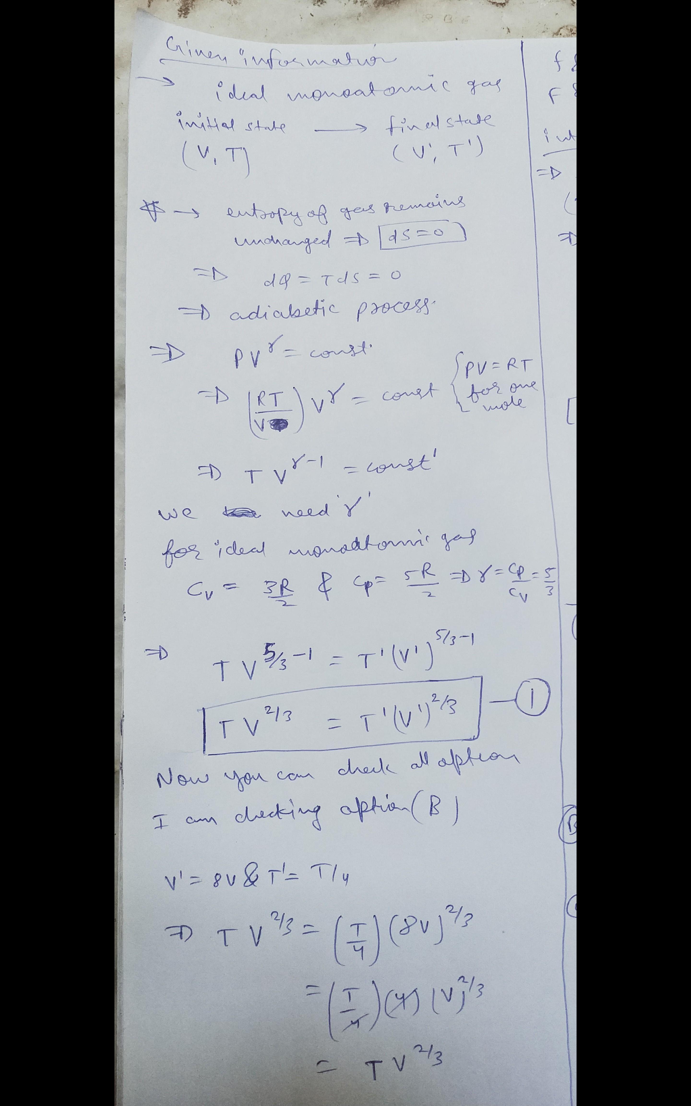
This is a isoentropic process or you can say adibatic process also(dS=0 means dQ=0).. check all the options by putting them in equation of adibatic process, u will get ur ans...