Time management is very much important in IIT JAM. The eduncle test series for IIT JAM Mathematical Statistics helped me a lot in this portion. I am very thankful to the test series I bought from eduncle.
Nilanjan Bhowmick AIR 3, CSIR NET (Earth Science)
>


Priyanshu kumar
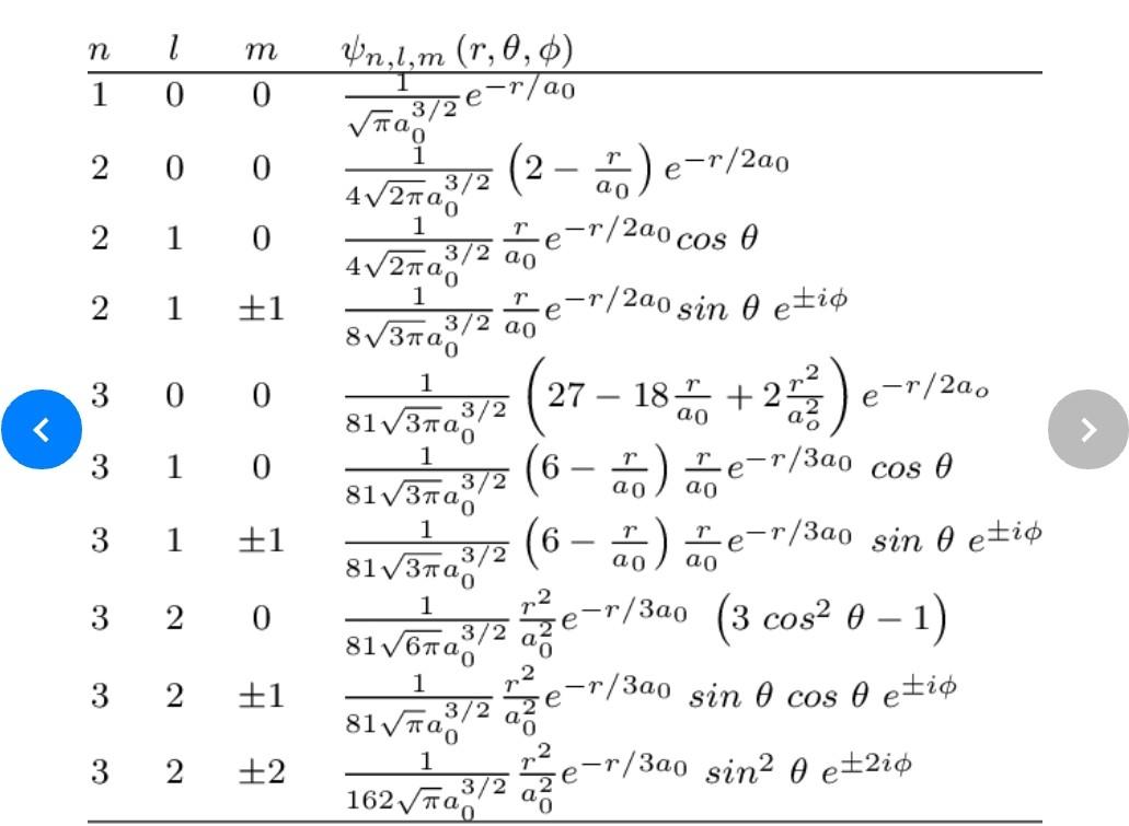
For this type of ques you have to get some idea regarding the orbital wave functions...which comes from shapes of orbitals concept...so either keep in mind these things by trick or by practicing it comes...