profile-img
Syed Shoaib posted an Question
December 25, 2021 • 22:17 pm 30 points
  • IIT JAM
  • Physics (PH)

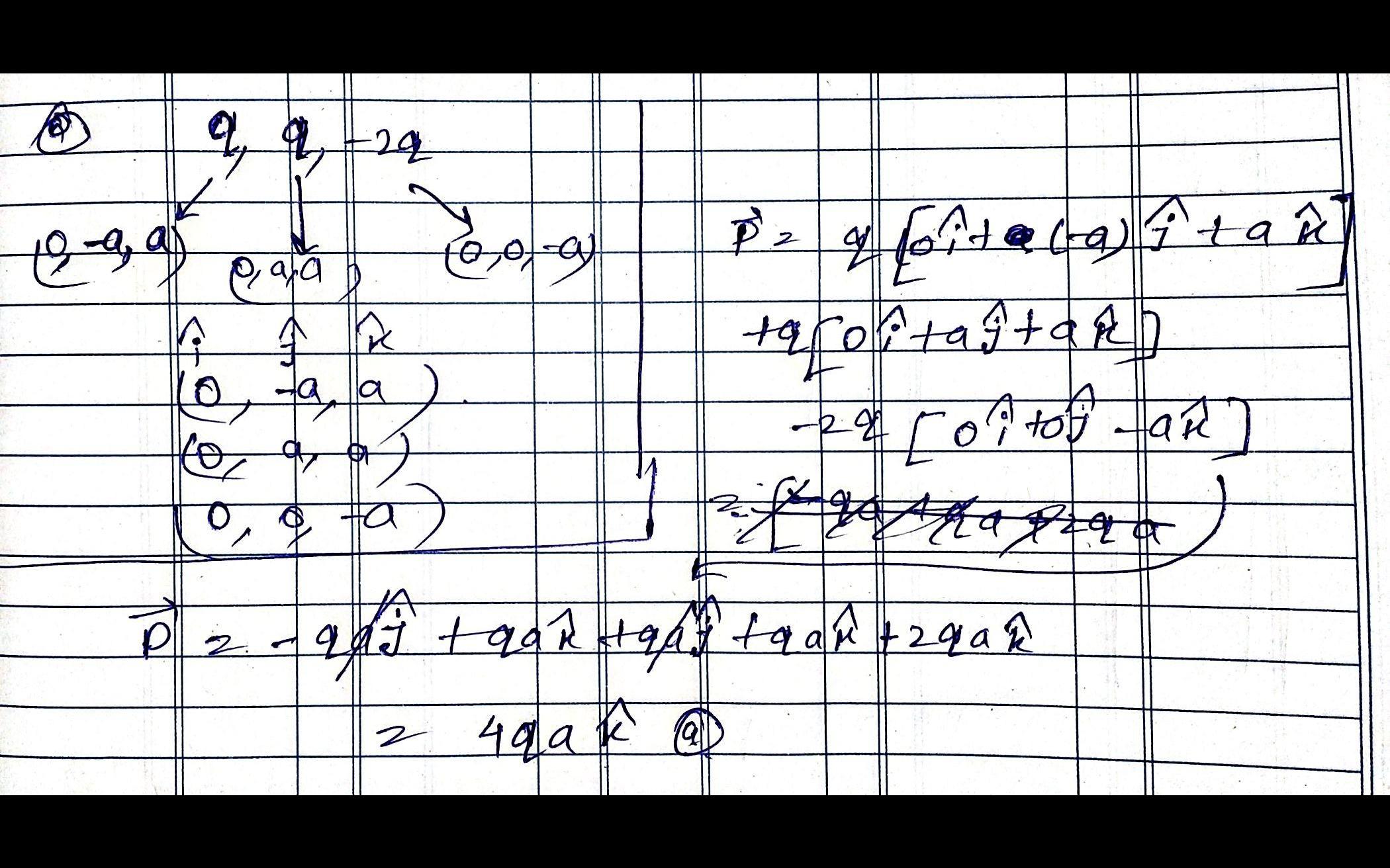
Three point charges q, q and -2q are located at (0,-a, a), (0, a, a) and (0, 0,-a) respectively. the net dipole moment of this charge distribution is (a) 4qak (

Three point charges q, q and -2q are located at (0,-a, a), (0, a, a) and (0, 0,-a) respectively. The net dipole moment of this charge distribution is (a) 4qak (b) 2qak ()-4qai (d)-2qaj

1 Answer(s) Answer Now
  • 0 Likes
  • 1 Comments
  • 0 Shares
whatsapp-btn

Do You Want Better RANK in Your Exam?

Start Your Preparations with Eduncle’s FREE Study Material

  • Updated Syllabus, Paper Pattern & Full Exam Details
  • Sample Theory of Most Important Topic
  • Model Test Paper with Detailed Solutions
  • Last 5 Years Question Papers & Answers