Time management is very much important in IIT JAM. The eduncle test series for IIT JAM Mathematical Statistics helped me a lot in this portion. I am very thankful to the test series I bought from eduncle.
Nilanjan Bhowmick AIR 3, CSIR NET (Earth Science)
>
>



Abhishek singh
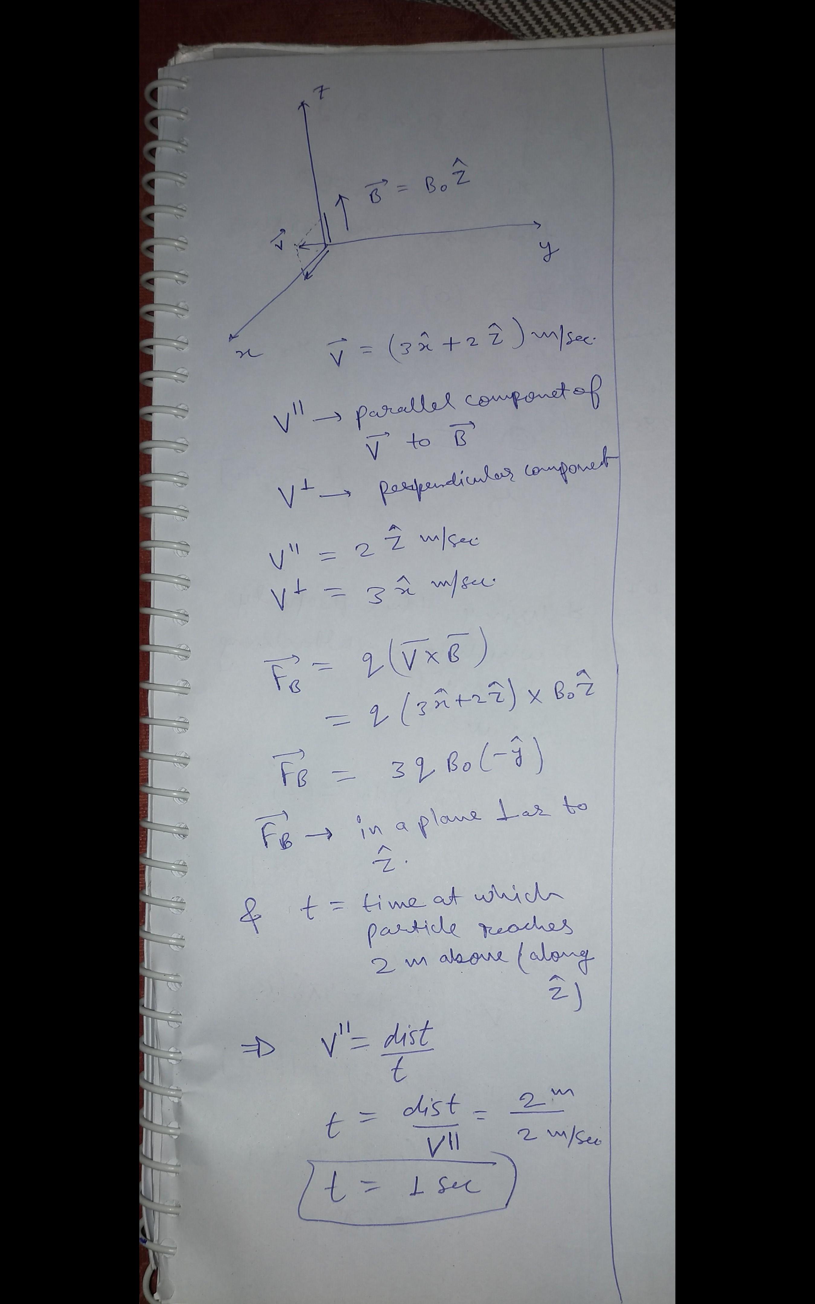
Option A is correct. because magnetic force will make circular trajectory, but the parallel component of velocity (along z direction) will make it helical. solution attached.