Time management is very much important in IIT JAM. The eduncle test series for IIT JAM Mathematical Statistics helped me a lot in this portion. I am very thankful to the test series I bought from eduncle.
Nilanjan Bhowmick AIR 3, CSIR NET (Earth Science)
>



Narayanarao gundoju
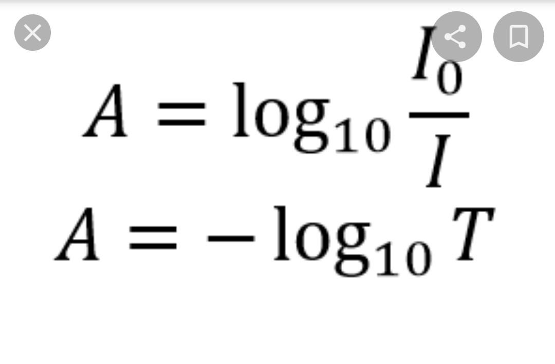
if concentration is doubled then transmitence is decreases to 33% if concentration is half then transmitence is 76%. thank you