Time management is very much important in IIT JAM. The eduncle test series for IIT JAM Mathematical Statistics helped me a lot in this portion. I am very thankful to the test series I bought from eduncle.
Nilanjan Bhowmick AIR 3, CSIR NET (Earth Science)
>
>


Priyanshu kumar
check solution
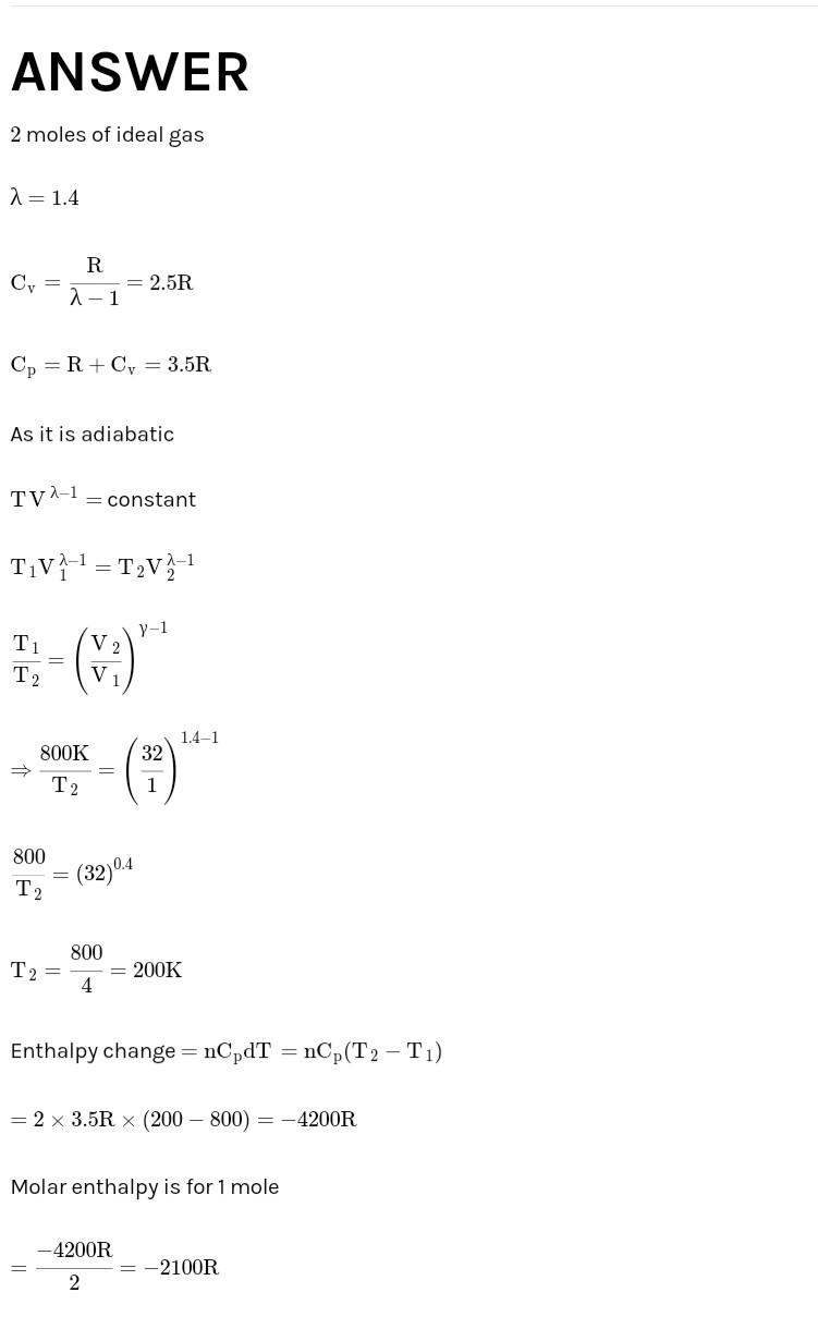
In Ist step use this formula...so you find Cv and Cp from this as gamma value is given...
please ask if still any doubt