profile-img
Prerna Chaudhary posted an Question
February 09, 2022 • 17:56 pm 30 points
  • IIT JAM
  • Mathematics (MA)

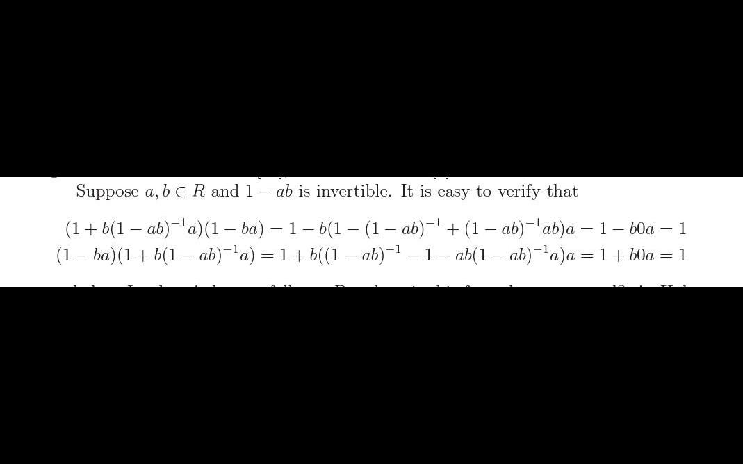
Uc-ac=0 ucac=0>ba + bc - bac = 0b +bc- bc =0b=0.] ba +bc -bac 0 b+bc-bc = 0 b=0.] 14. show that if 1-ab is invertible in a ring r with unity, then so is 1-ba. 1

uC-ac=0 uCaC=0>ba + bc - bac = 0b +bc- bc =0b=0.] ba +bc -bac 0 b+bc-bc = 0 b=0.] 14. Show that if 1-ab is invertible in a ring R with unity, then so is 1-ba. 15

1 Answer(s) Answer Now
  • 0 Likes
  • 1 Comments
  • 0 Shares
whatsapp-btn

Do You Want Better RANK in Your Exam?

Start Your Preparations with Eduncle’s FREE Study Material

  • Updated Syllabus, Paper Pattern & Full Exam Details
  • Sample Theory of Most Important Topic
  • Model Test Paper with Detailed Solutions
  • Last 5 Years Question Papers & Answers