Nandani posted an Question
February 25, 2022 • 03:54 am 30 points
  • IIT JAM
  • Mathematics (MA)

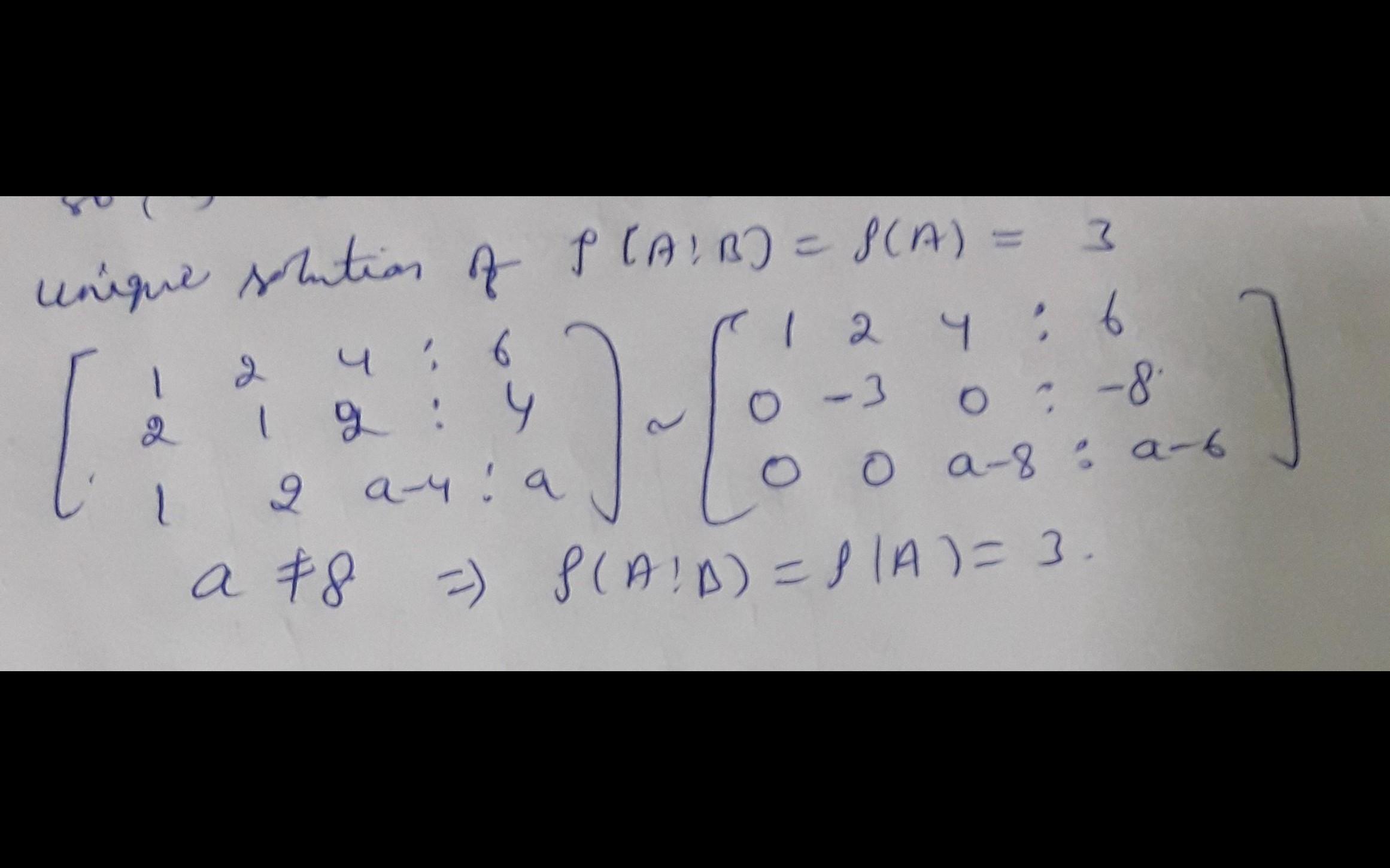
Under which one of the following condition does the system of equations 1 2 2 1 2 a-4 4 1 2 |4 = a have a unique solution? (a) for all a e r (c) for all a e z (

Under which one of the following condition does the system of equations 1 2 2 1 2 a-4 4 1 2 |4 = a have a unique solution? (a) For all a e R (c) For all a e Z (b) a = 8 Jd) a*8

1 Answer(s) Answer Now
  • 0 Likes
  • 1 Comments
  • 0 Shares
whatsapp-btn

Do You Want Better RANK in Your Exam?

Start Your Preparations with Eduncle’s FREE Study Material

  • Updated Syllabus, Paper Pattern & Full Exam Details
  • Sample Theory of Most Important Topic
  • Model Test Paper with Detailed Solutions
  • Last 5 Years Question Papers & Answers