Time management is very much important in IIT JAM. The eduncle test series for IIT JAM Mathematical Statistics helped me a lot in this portion. I am very thankful to the test series I bought from eduncle.
Nilanjan Bhowmick AIR 3, CSIR NET (Earth Science)
>


Paltu Sen
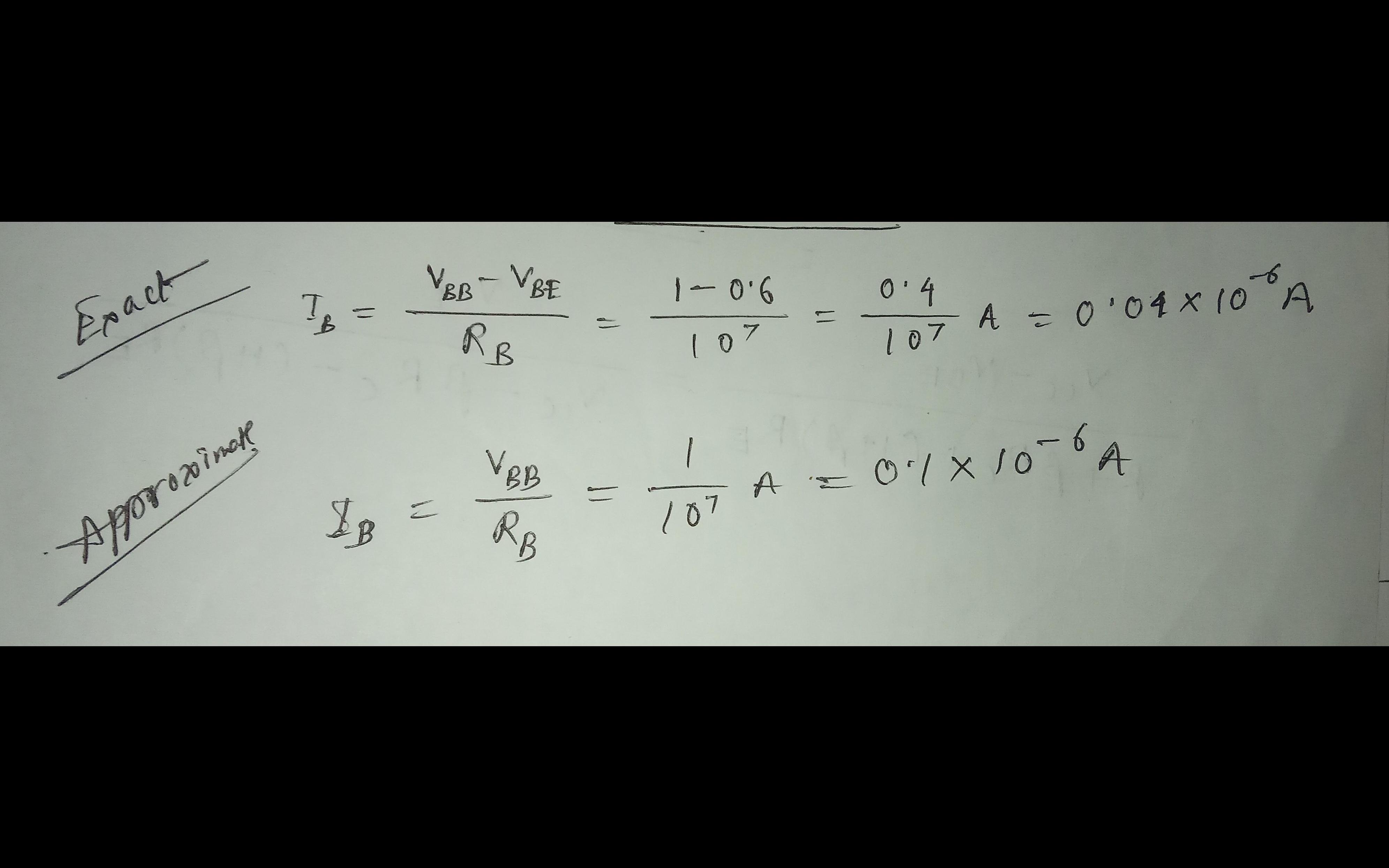
You are right ..To get exact value of Ib we should use Vbe. But if assume the base emitter junction as an ideal one we can set Vbe=0.Also in the cases where Vbb is large compared Vbe we can neglect it..Since here the options given don't match with exact value ,we should neglect Vbe....But here to get exact answer use (Vbb-Vbe)/Rb