Time management is very much important in IIT JAM. The eduncle test series for IIT JAM Mathematical Statistics helped me a lot in this portion. I am very thankful to the test series I bought from eduncle.
Nilanjan Bhowmick AIR 3, CSIR NET (Earth Science)
>
>

>
>


Somnath Best Answer
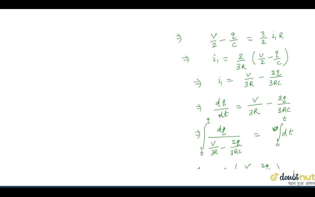
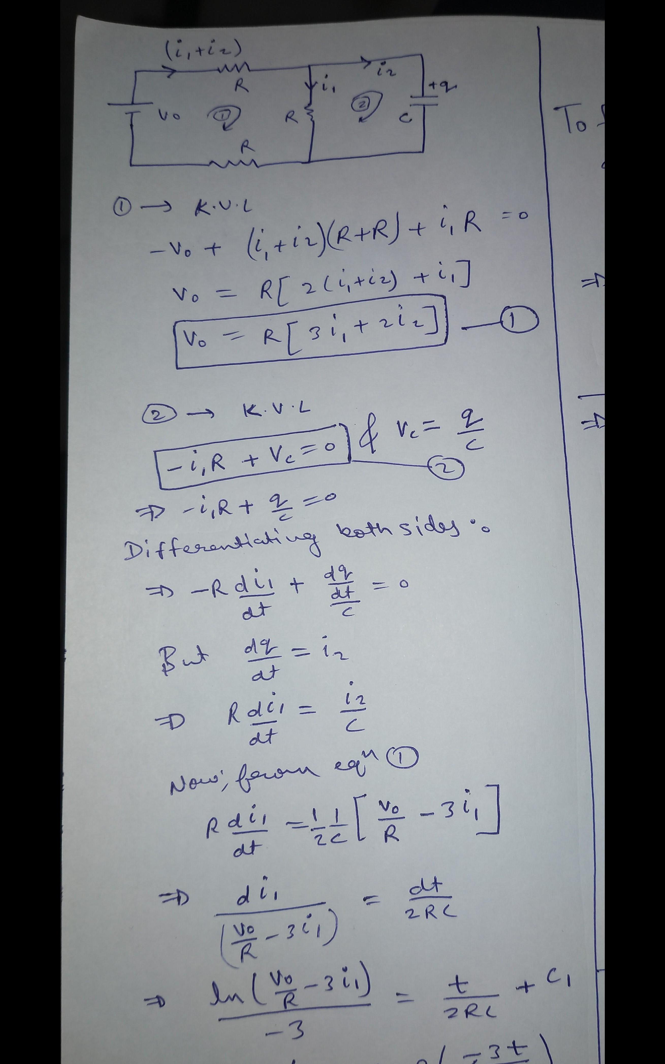
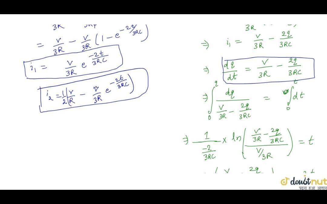
Details step by step solution is given in the attached file.It is looking little bit lengthy because i have performed every step for your better understanding.