Vr-y)- 2 5. let f:r r be defined by 1. the value of lim (x-(22) x-y-4 (a.) 0 s(x)= +y (x.y) (0,0) (b.) 4 (x y) (0.0) at (0.0) (c.) (a.) f is not continuous (b.)
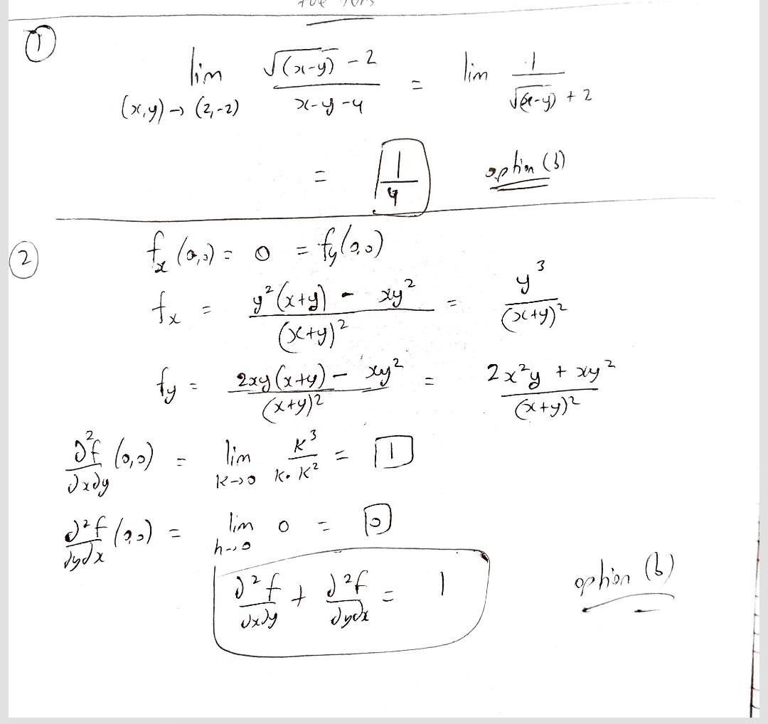
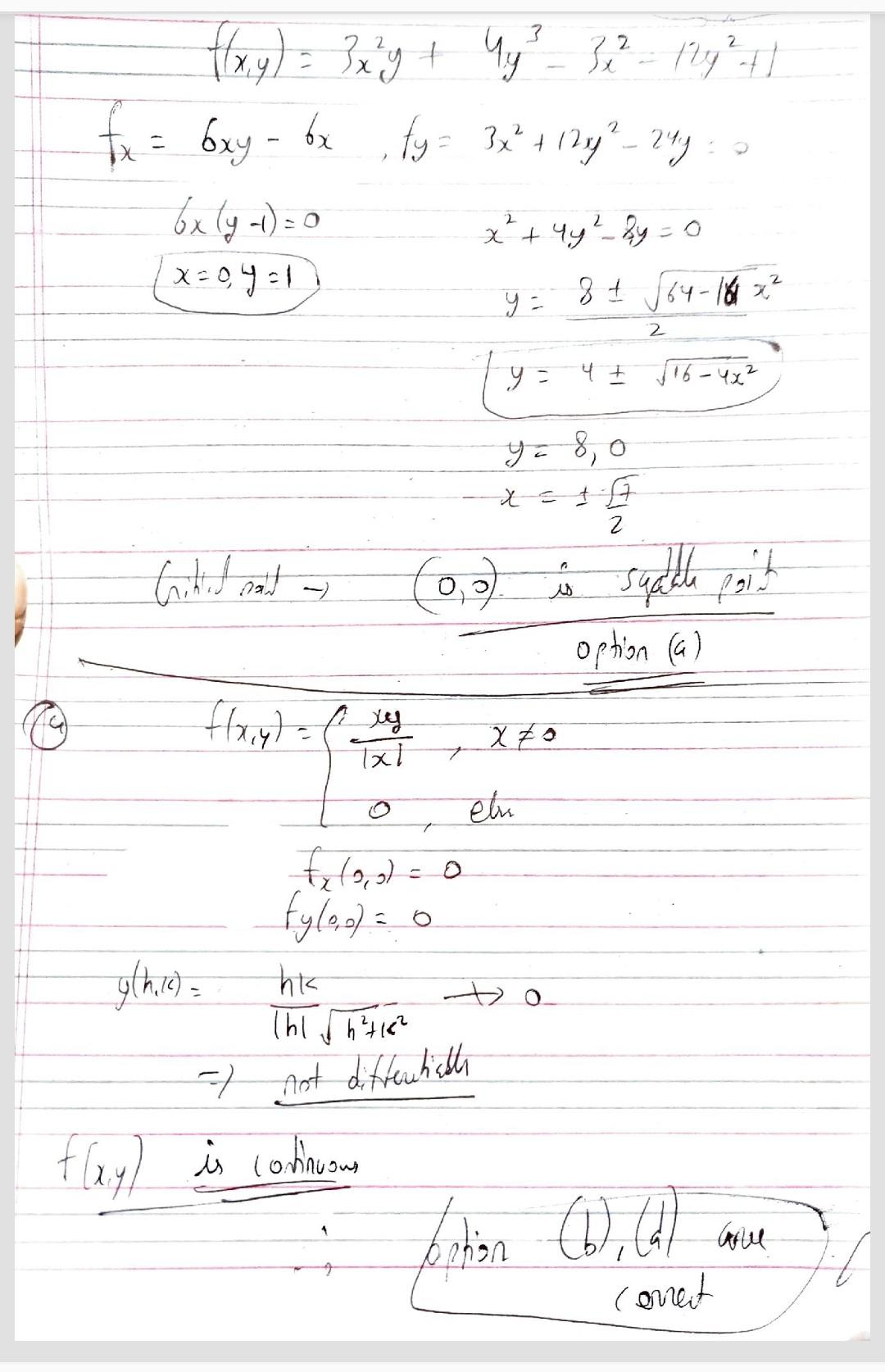
Vr-y)- 2 5. Let f:R R be defined by 1. The value of lim (x-(22) X-y-4 (a.) 0 S(x)= +y (x.y) (0,0) (b.) 4 (x y) (0.0) At (0.0) (C.) (a.) f is not continuous (b.) f is continuous, and both f, and f,exist (d.) (c.) fis differentiable 2 Let f: R2 R be defined by (d) f. and f,exist but f is not differentiable y2 if r+ y#0 6 For r,yeR f(x,y) ={x+y all let if y =0. f(. 9)=x-y' sin (1/ y) if y#0. 0 ifx+y =0 02f2f Ox dy oy dx Then the value of at the Then at the point (0, 0), (a.) s is NOT continuous point (0, 0) is (b.) f is continuous but NOT differentiable (a.) 0 f (b.) 1 (c.)exists butdoes NOT exist dy (c.) 2 (d.) f is differentiable (d.) 4 7. For all (x. y)e R?, let 3 The function f(r,y)=3x2y + 4y3 -3x2 -12y2 +1 has a saddle point at +y if x#0, f(. ))={ 0 ifr=0. (a.) (0,0) Then(0,0)(0.0) equals (b.) (0,2) (a.) -1 (c.) (1,1) (b.)0 (d.) -2,1) (c.) 1 (d.) 2 4. Let f:R2 > R be defined by 8 Let f(r.y) =2(r-»') for all (.)e R. if x#0 f(x.y) =3|x| 0 Then for all (x. y)e R elsewhere (a.).) -y.) =0 dy Then at the point (0,0) which of the following statement(s) is(are) TRUE? dx (b.) v) + yy)=0 ay (a.) f is not continuous (c.) ()- r)=0 dy (b.) f is continuous (c.) f is differentiable (d.) .)+(.)) =0 (d.) Both first order partial derivatives of f nrai Hapz Khas, Near LLT., New Delhi-110016, Ph.: (011)-26537527, Cell: 9999183434 & 9899161734, 8588844789 mdemy.com: Website: www.dipsacademv.com 188 exist
question no. 2, 4, 5, 6, 7, 8
Time management is very much important in IIT JAM. The eduncle test series for IIT JAM Mathematical Statistics helped me a lot in this portion. I am very thankful to the test series I bought from eduncle.
Nilanjan BhowmickAIR 3, CSIR NET (Earth Science)
Eduncle served as my guiding light. It has a responsive doubt solving team which solves & provides good solutions for your queries within 24 hours. Eduncle Mentorship Services guides you step by step regarding your syllabus, books to be used to study a subject, weightage, important stuff, etc.
NiketAIR 6, IIT JAM (Physics)
The General Aptitude part of Eduncle study materials were very good and helpful. Chapters of the Earth Science were also very satisfactory.
Nilanjan BhowmickAIR 3, CSIR NET (Earth Science)
The study material of Eduncle helps me a lot. The unit wise questions and test series were helpful. It helped me to clear my doubts. When I could not understand a topic, the faculty support too was good. Thanks Eduncle.
Nabendu Kumar KanAIR 4, CSIR NET (Physical Science)
I recommend Eduncle study material & services are best to crack UGC-NET exam because the material is developed by subject experts. Eduncle material consists a good no. of ques with online test series & mock test papers.
Aafreen Khan99.99 Percentile, UGC NET (Commerce)
I am truly Statisfied with study material of Eduncle.com for English their practise test paper was really awsome because it helped me to crack GSET before NET. Thanks Team of eduncle.
Abanti Banerjee99.99 Percentile, UGC NET (Commerce)
Request a Call back
Let Our Mentors Help You With the Best Guidance
We have Received Your Query
One of your mentor will revert to you whitin 48 hours. Meanwhile you can Enjoy the free Study MaterialView Free Study Material
Deepak singh 1
Refer attachment