Time management is very much important in IIT JAM. The eduncle test series for IIT JAM Mathematical Statistics helped me a lot in this portion. I am very thankful to the test series I bought from eduncle.
Nilanjan Bhowmick AIR 3, CSIR NET (Earth Science)
>
>



Tripti sharma
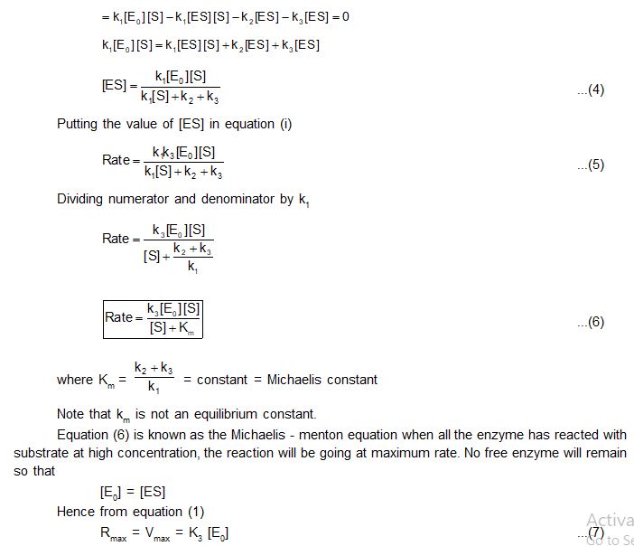
Hi Labham, here is the details of your second query related to steady state approximation. kindly refer the attached images. Thanks and Regards, Academic Support Eduncle.com