Time management is very much important in IIT JAM. The eduncle test series for IIT JAM Mathematical Statistics helped me a lot in this portion. I am very thankful to the test series I bought from eduncle.
Nilanjan Bhowmick AIR 3, CSIR NET (Earth Science)
>
>



Amol ashok pawar
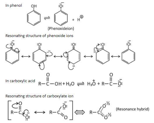
Carboxylic acids are more acidic than phenoxide As negative charge is delocalised across 2 electronegative oxygen atoms