Nandani posted an Question
February 22, 2022 • 03:46 am 30 points
  • IIT JAM
  • Mathematics (MA)

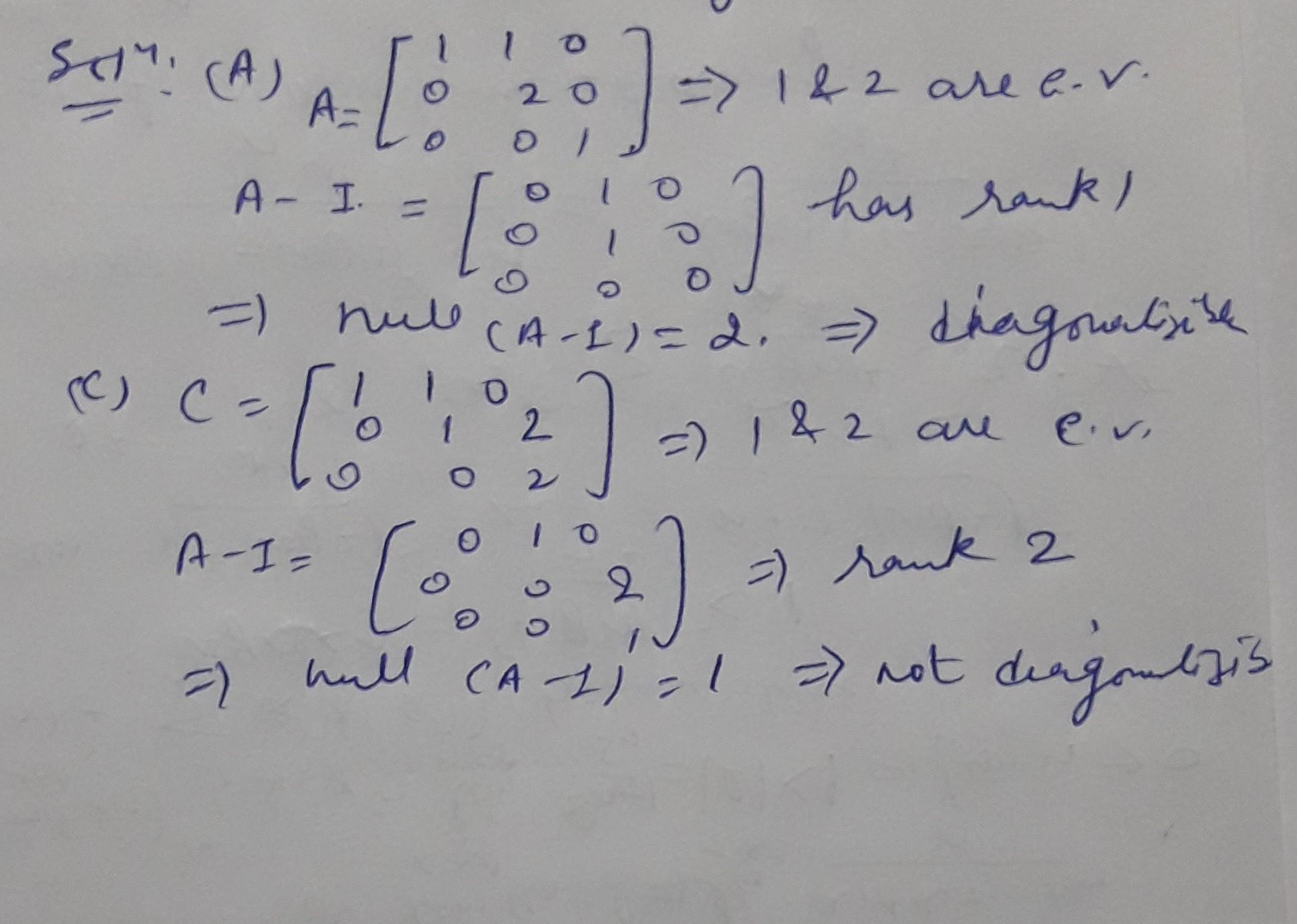
Which of the following matrices is not diagonalisable over r? 1101 (a) 0 2 0 l00 1 110 110 (b) 0 2 1| (c)0 1 0 l00 3 00 2 10 11 (d) 020 0 0 3 n

Which of the following matrices is not diagonalisable over R? 1101 (a) 0 2 0 L00 1 110 110 (b) 0 2 1| (c)0 1 0 L00 3 00 2 10 11 (d) 020 0 0 3 n

1 Answer(s) Answer Now
  • 0 Likes
  • 1 Comments
  • 0 Shares
whatsapp-btn

Do You Want Better RANK in Your Exam?

Start Your Preparations with Eduncle’s FREE Study Material

  • Updated Syllabus, Paper Pattern & Full Exam Details
  • Sample Theory of Most Important Topic
  • Model Test Paper with Detailed Solutions
  • Last 5 Years Question Papers & Answers