Time management is very much important in IIT JAM. The eduncle test series for IIT JAM Mathematical Statistics helped me a lot in this portion. I am very thankful to the test series I bought from eduncle.
Nilanjan Bhowmick AIR 3, CSIR NET (Earth Science)
>


Deepak singh 1 Best Answer
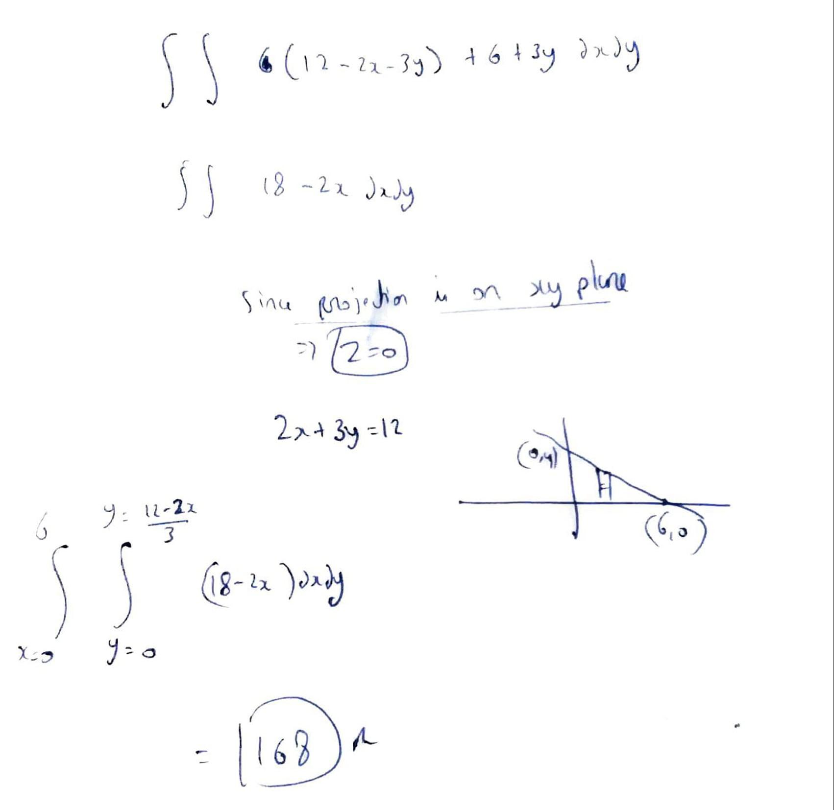
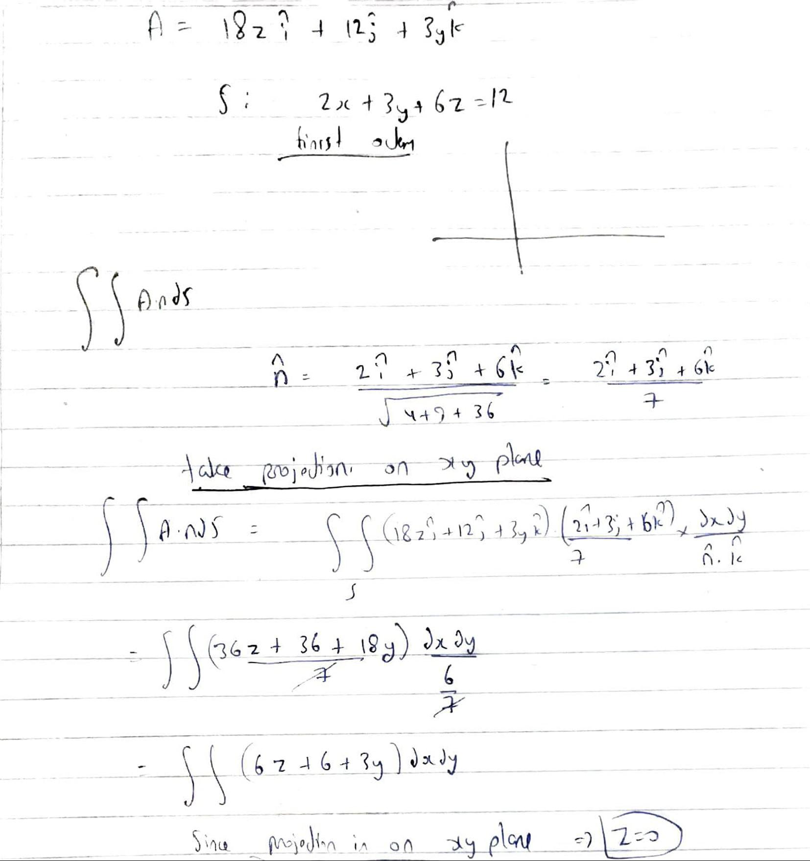
see attached solutions answer is 168
sir but u have solved using surface integral.
why cant we solve this by stokes theorem
region is not closed .
sir how u determine surface is closed or not..please tell i am not getting in some question because of this every time i am getting stucked
is there any formulae or rule
if so please tell
in question given , surface is plane and how plane can closed ?
there is no formula or rule , you should know graphs of basic figures.. like sphere , parabola , hyperbolas , plane , cone , cylinder this are basic ..
sir but why they have applied divergence theorem the region is almost same ..
let me check
yes sir..
see , in this question ,we have to cover region for applying divergence theorem . divergence theorem should be use in this way ... they have skipped steps for finding FndS at S1,S2,S3 which may be 0
we have to close region before applying divergence
ok sir..thanks a lot sir