Time management is very much important in IIT JAM. The eduncle test series for IIT JAM Mathematical Statistics helped me a lot in this portion. I am very thankful to the test series I bought from eduncle.
Nilanjan Bhowmick AIR 3, CSIR NET (Earth Science)
>
>


Priyanshu kumar
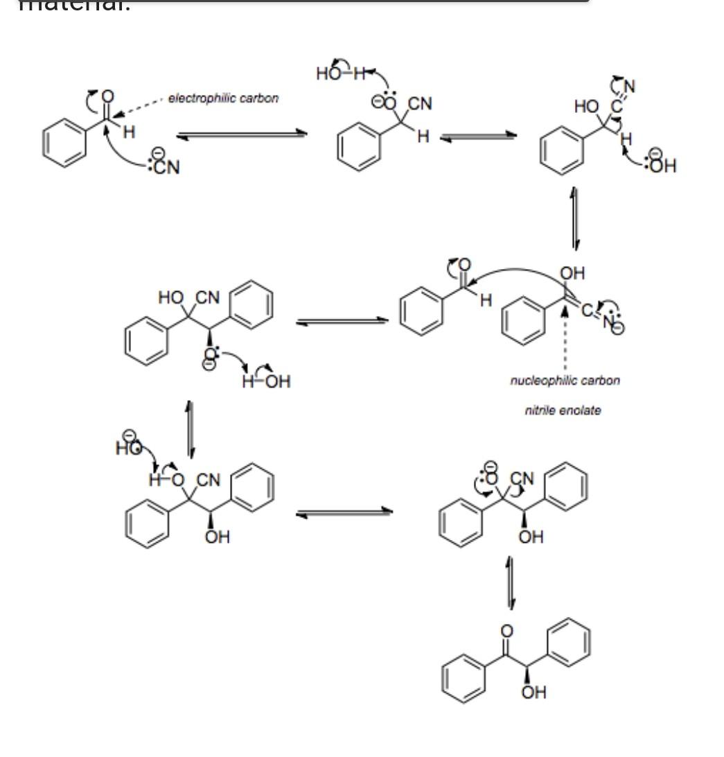
check this mechanism shweta First formation of cyanohydrin takes place,then the OH- abstract acidic proton adjacent to electron withdrawing Cyanide group.