Time management is very much important in IIT JAM. The eduncle test series for IIT JAM Mathematical Statistics helped me a lot in this portion. I am very thankful to the test series I bought from eduncle.
Nilanjan Bhowmick AIR 3, CSIR NET (Earth Science)


Prashant kumar
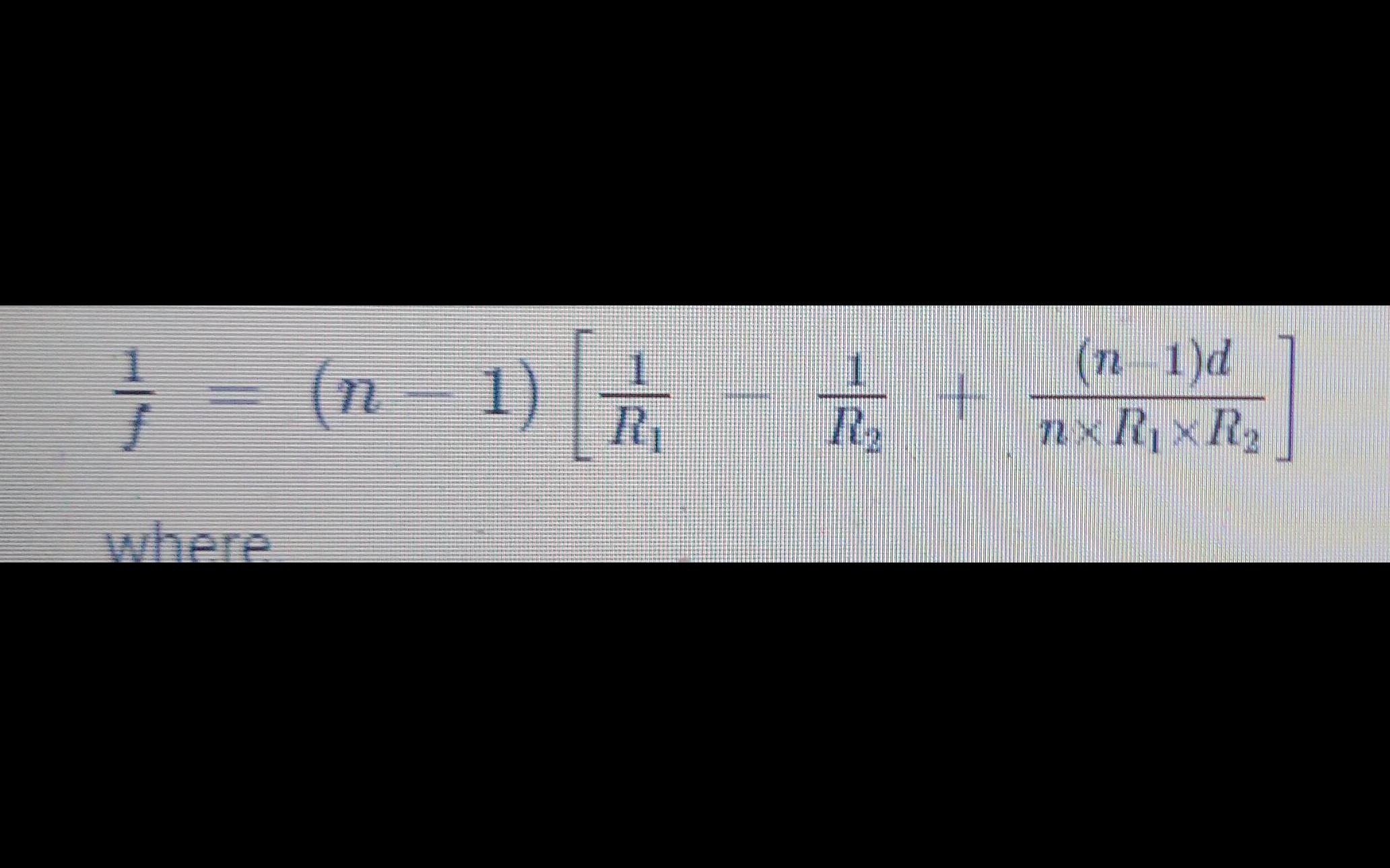
Because it is not always true for all lenses. This is true for only thin double concave and double convex lenses. that is why we use the lenses maker's formula. for thick lenses the focal length of lenses depends also on the thickness of lenses.