Time management is very much important in IIT JAM. The eduncle test series for IIT JAM Mathematical Statistics helped me a lot in this portion. I am very thankful to the test series I bought from eduncle.
Nilanjan Bhowmick AIR 3, CSIR NET (Earth Science)



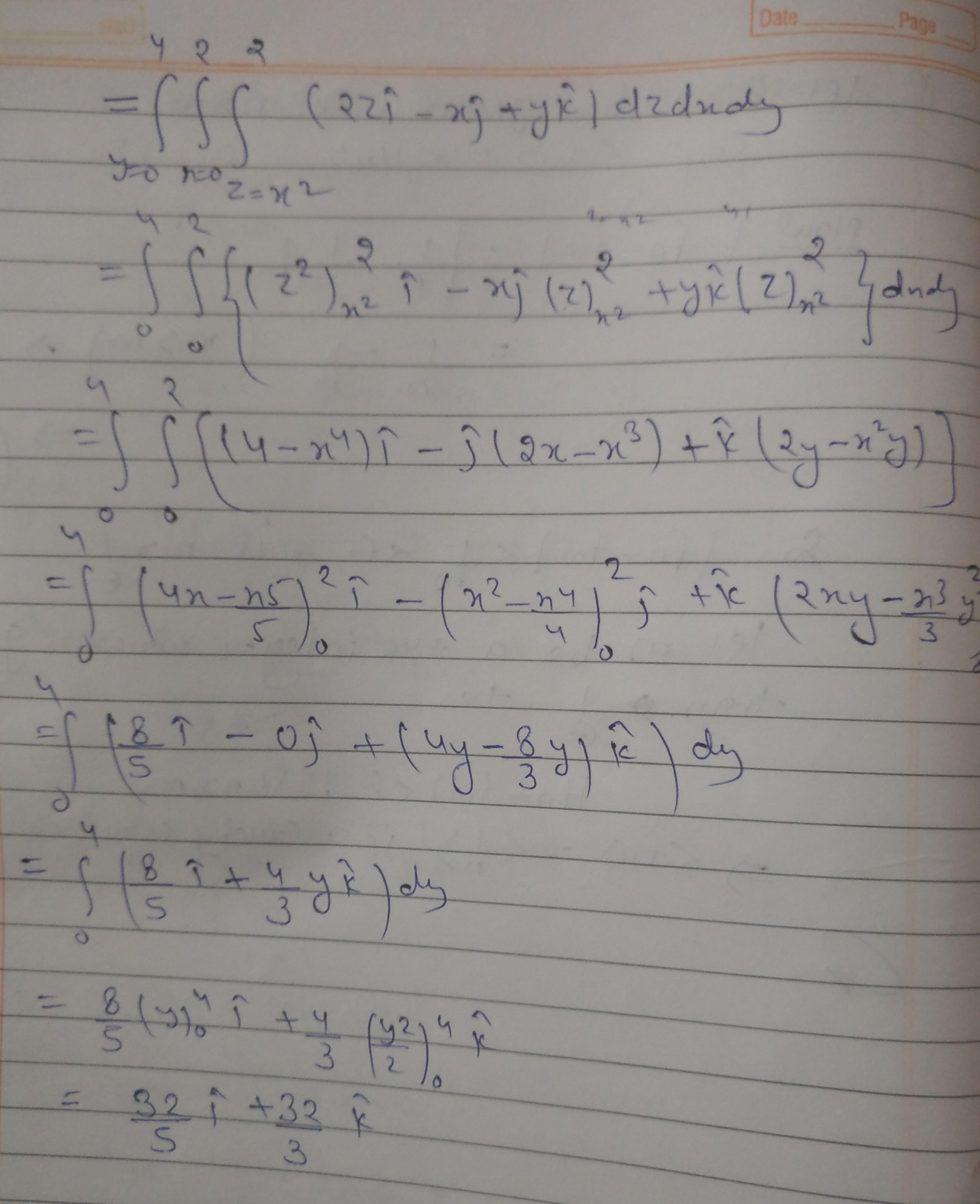
Alka gupta Best Answer
first of all bounded region is in 3D....so we can't plot a diagram ....z= x^2 to z=2 or z=2 to z=x^2 its just depands on imagination
Doesn't it creates an negative error if we imagine it in the other way?
yes definitely....if we change upper and lower limits than ans multiple by - sign
u have to imagine which surface lies upside which lies downside.....
its completely depand on practice