Time management is very much important in IIT JAM. The eduncle test series for IIT JAM Mathematical Statistics helped me a lot in this portion. I am very thankful to the test series I bought from eduncle.
Nilanjan Bhowmick AIR 3, CSIR NET (Earth Science)
>


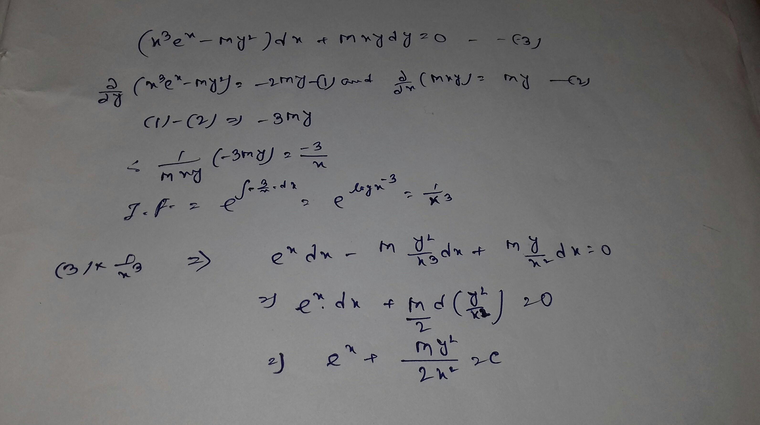
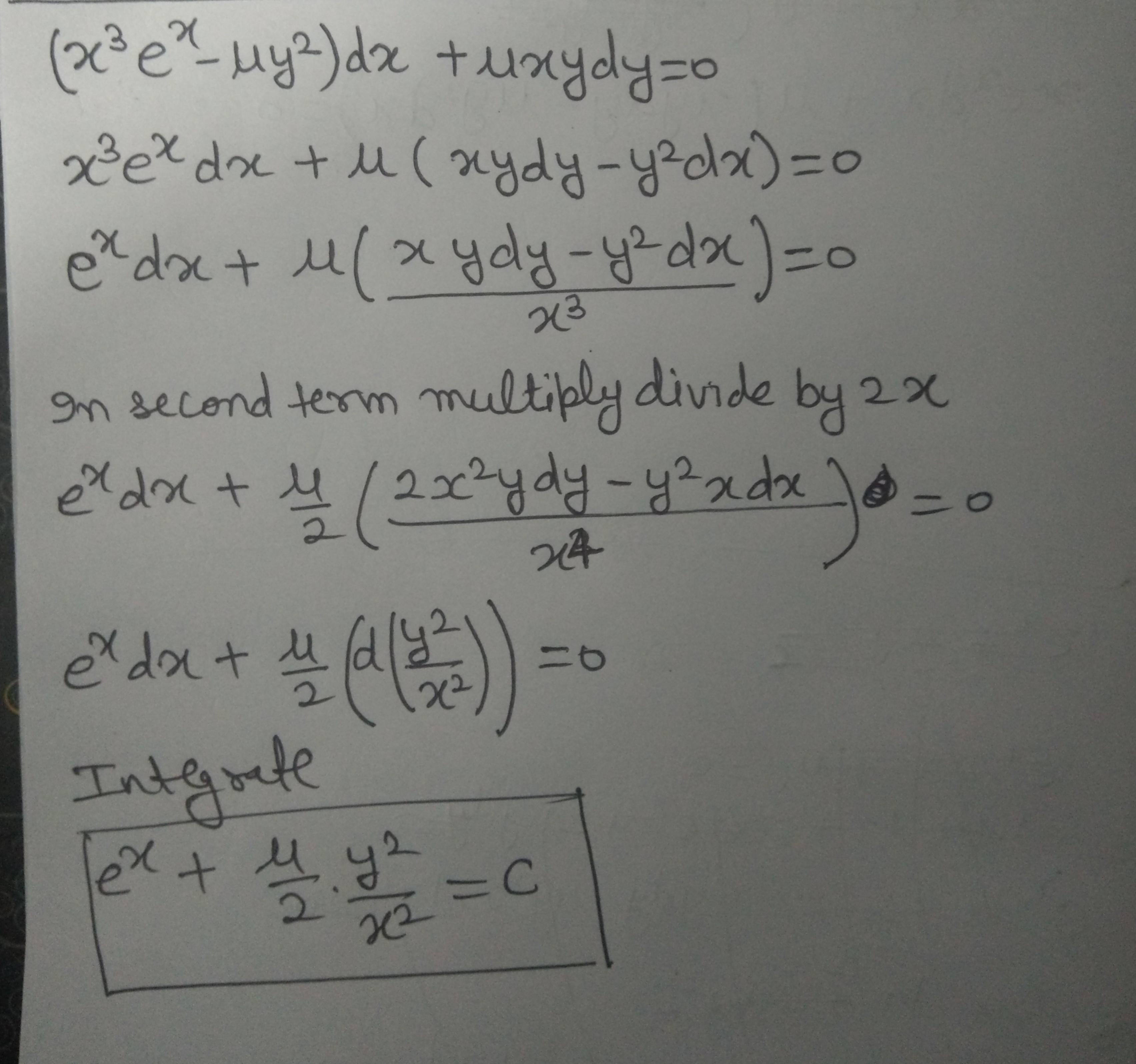
Jagat Chaudhary Best Answer
Please check image for complete solution Jagat Chaudhary Eduncle Expert (MA)