Time management is very much important in IIT JAM. The eduncle test series for IIT JAM Mathematical Statistics helped me a lot in this portion. I am very thankful to the test series I bought from eduncle.
Nilanjan Bhowmick AIR 3, CSIR NET (Earth Science)
>
>


Jagat Chaudhary
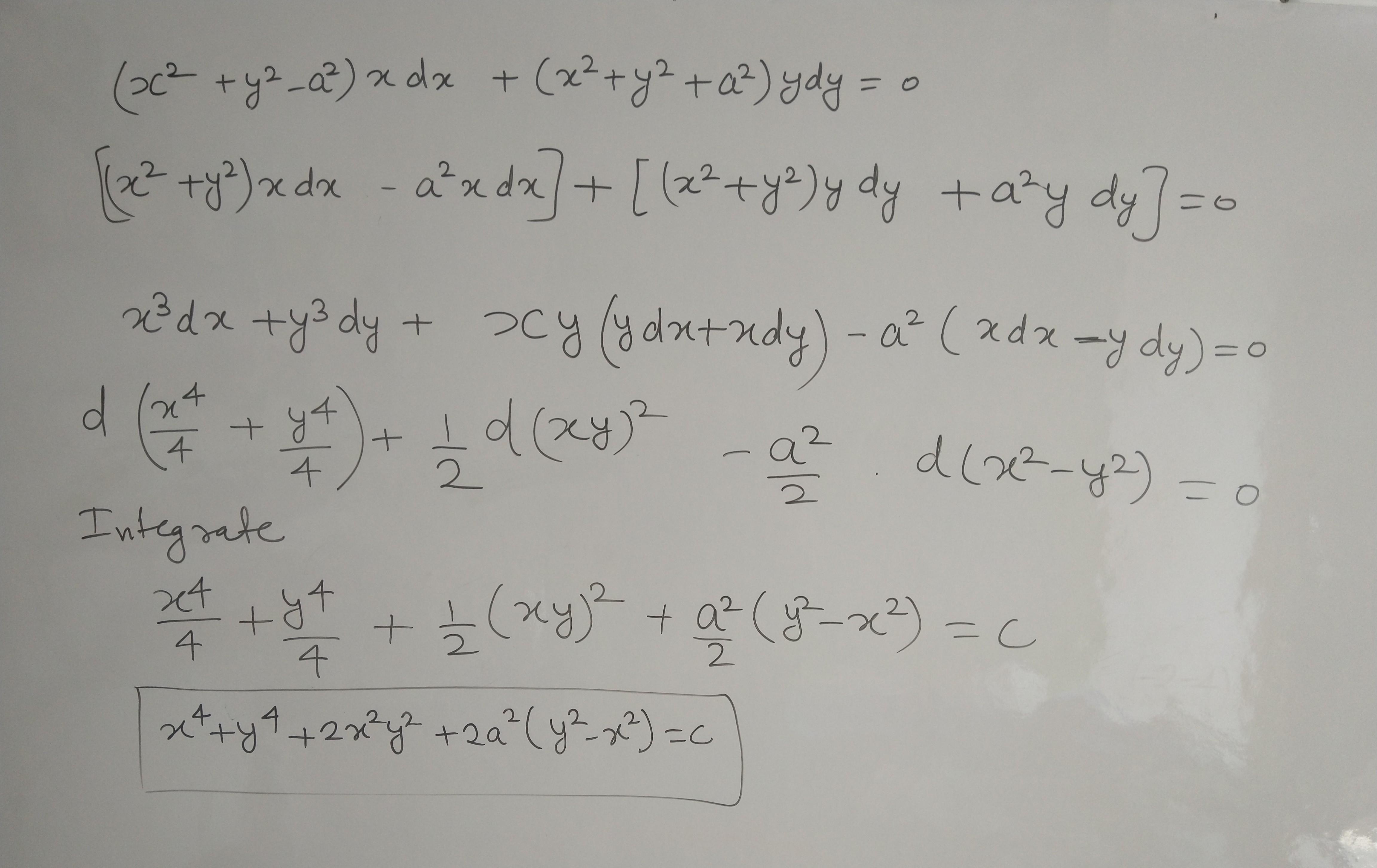
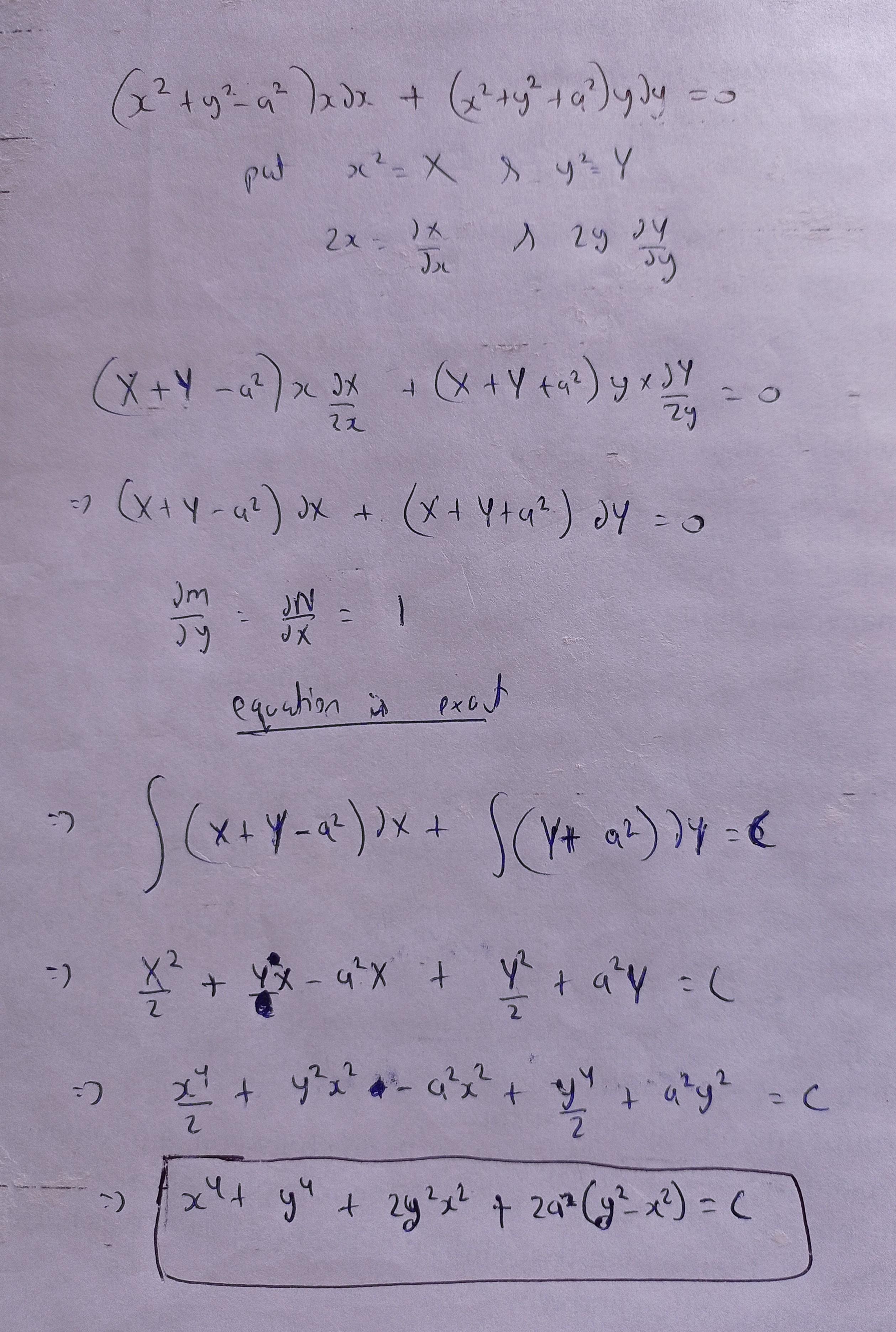
Please check image for step by step solution. keep asking more doubts. Jagat Chaudhary Eduncle Expert (MA)