Nandani posted an Question
April 13, 2022 • 00:47 am 30 points
  • IIT JAM
  • Mathematics (MA)

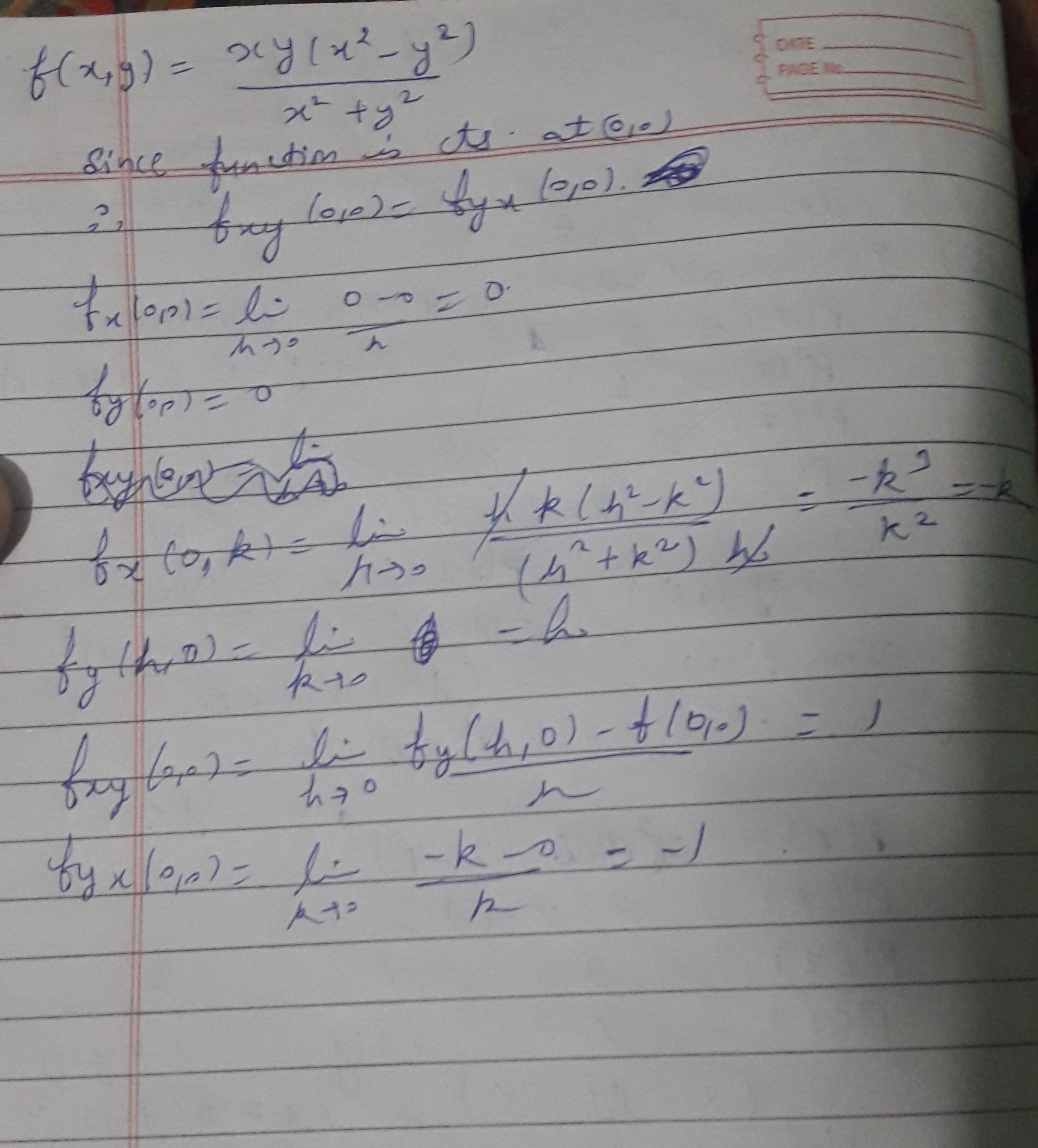
Y-y,, y)* (0, 0) fx, y)= x+y x, y) = (0, 0) then, (a) f0,0)= f0,0) = 0 (b) f0,0) * f0,0) (c) 0,0) = f0,0) (d) none of the above

y-y,, y)* (0, 0) fx, y)= x+y x, y) = (0, 0) Then, (a) f0,0)= f0,0) = 0 (b) f0,0) * f0,0) (c) 0,0) = f0,0) (d) None of the above

1 Answer(s) Answer Now
  • 0 Likes
  • 1 Comments
  • 0 Shares
whatsapp-btn

Do You Want Better RANK in Your Exam?

Start Your Preparations with Eduncle’s FREE Study Material

  • Updated Syllabus, Paper Pattern & Full Exam Details
  • Sample Theory of Most Important Topic
  • Model Test Paper with Detailed Solutions
  • Last 5 Years Question Papers & Answers