Time management is very much important in IIT JAM. The eduncle test series for IIT JAM Mathematical Statistics helped me a lot in this portion. I am very thankful to the test series I bought from eduncle.
Nilanjan Bhowmick AIR 3, CSIR NET (Earth Science)
>
>



Dinesh khalmaniya 1
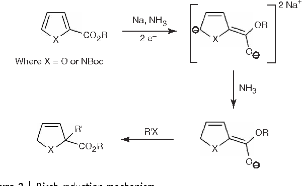
Mechanism- here partial reduction of elwctron deficient furane ring takes place following by nucleophilic substitution of RX.
got it??
Yes sir