Time management is very much important in IIT JAM. The eduncle test series for IIT JAM Mathematical Statistics helped me a lot in this portion. I am very thankful to the test series I bought from eduncle.
Nilanjan Bhowmick AIR 3, CSIR NET (Earth Science)
>



Suman Kumar
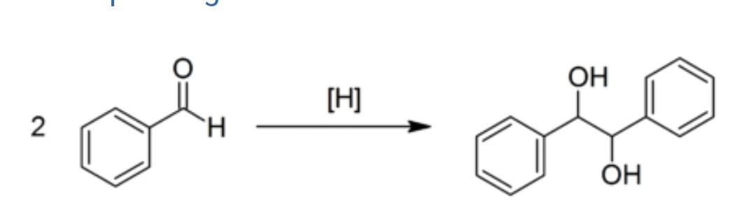
See this reductive coupling
sir reductive coupling means
coupling means new c-c bond formation
Reduction is ketone to alcohol
ok sir tq sir
please mark this as well previous answer 🙏😊
and sir Na2S2O4 is used for the reduction of ?
In the presence of aldehydes, sodium dithionite reacts either to form α-hydroxy-sulfinates at room temperature or to reduce the aldehyde to the corresponding alcohol above a temperature of 85 °C
do you want Mechanism
But mechanism is little difficult to understand
sir in this given one application of one reagent is it sufficient for solving questions
Yes it is more than sufficient
itne important reagent bhi nahi hai ye
sir organic reaction mechanism and synthetic application lo kese achhe se memorize krte heinn
mechanism likh likh ke memorize hoga. Organic pura maths hi hai
pura likh ke practice karo